Coon's Patch Examples
Hakan Tiftikci Turkey htiftik@yahoo.com
Introduction
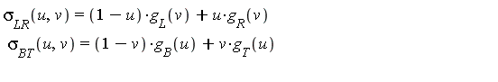
Coon's patch defines a surface by 4 curve segments that are connected in end-to-end, forming a closed curve chain. For left, right, bottom, top boundary curves denoted by , convex sum (blending) defines two lofting surfaces from to and to .
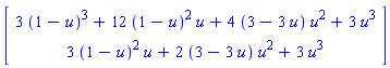
First patch interpolates and second patch interpolates Adding two patches
and evaluating at boundaries yields
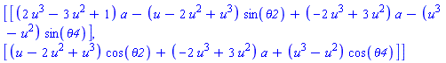
this shows that left boundary curve of , which is sought to be has extra term that can be modelled by Expanding yields
from symmetry, there is no need to perform same procedure for other direction (~ bottom,right). The final form of patch to interpolate all four curves is
Initialization
Definitions
3D Coon's Patch Example
Define control points for 4 boundary curves
Define 4 Bezier curves
plot corner curves
Plot control points for four corner curves
Define Coon's patch
Plot defined Coon's patch
2D Coons Patch example-1
Define control points
Define corner curves
plot 2D patch
plot corner curves and surface
2D Coons Patch example-2 : square net with equally rotationg tangents
animation for the sweep of tangent angle
2D Coon's Patch example-3 : grid generation for nozzle like geometry
Legal Notice: © Maplesoft, a division of Waterloo Maple Inc. 2009. Maplesoft and Maple are trademarks of Waterloo Maple Inc. Neither Maplesoft nor the authors are responsible for any errors contained within and are not liable for any damages resulting from the use of this material. This application is intended for non-commercial, non-profit use only. Contact the authors for permission if you wish to use this application in for-profit activities.