The Ionization Constant of H2O - IAPWS Formulation See http://iapws.org/relguide/Ionization.pdf
Authors: Valery Ochkov and Aung Tu Ya Tun
Introduction
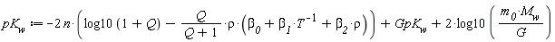
This application calculates the ionization constant of water using the formulation ratified by the IAPWS [1] in 2007 and developed by Bandura [2]. The formula is semi-empirical, and employs temperature and density as states. This application, however, asks the user to enter temperature and pressure as states, and uses that information to calculate the density of water (via the ThermophysicalData package). This is a more practical specification of states. References:
[1] http://iapws.org/relguide/Ionization.pdf
[2] Bandura, A. V., and S. N. Lvov, “The Ionization Constant of Water over a Wide Range of Temperatures and Densities.” J. Phys. Chem. Ref. Data, Vol. 35, 2006, pp. 15-30.
Pressure of water or steam as function of density and temperature
Input data
Temperature
Pressure
Calculation
Density
Empirical coefficients
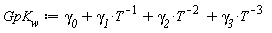
The ideal-gas ionization constant of water
Normalizing mass density
Ion coordination number
Standard molality
Molar mass of water
Answer
Molal ionization constant of water