Application Center - Maplesoft

App Preview:

Planck's law, Stefan-Boltzmann law, Wien's law

You can switch back to the summary page by clicking here.

Learn about Maple
Download Application




Planck's law, Stefan-Boltzmann law, Wien's law

 

Problem

Based on Planck's law for radiance, calculate (A) the Stefan-Boltzmann law for flux, (B) Wien's displacement law and (C) the colour index for the following ranges of two colour filters: blue: 400-500 nm; red: 600-700 nm.

 

Hints:

Integrate Planck's law to find the Stefan-Boltzmann law. Make substitutions to simplify the calculation.

To find Wien's displacement law, find the maximum value of Planck's law.

Use the colour-index formula, below, to find an approximate colour index for the filters listed in the problem, above.

 

Useful Equations

Planck's Law

 

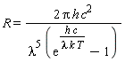
R = 2*Pi*h*c^2/(lambda^5*(exp(h*c/(lambda*k*T))-1)) 

 

Colour Index

 

CI6 := 2.5*log[10](evalf((int(R6, lambda = lblo .. lbhi))/(int(R6, lambda = lrlo .. lrhi))))  

NULL

 

Planck's Formula for the Radiance as a Function of Wavelength and Temperature

 

R := 2*Pi*h*c^2/(lambda^5*(exp(h*c/(lambda*k*T))-1))

2*Pi*h*c^2/(lambda^5*(exp(h*c/(lambda*k*T))-1))

(2.1)

``

Solution (A) Stefan Boltzmann Law

Find the flux by integrating Planck's law. It is necessary to reassign some variables so that Maple can solve the problem.

 

xx := h*c/(lambda*k*T)

h*c/(lambda*k*T)

(3.1)

dxdl := -(diff(xx, lambda))

h*c/(lambda^2*k*T)

(3.2)

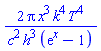
Rx := subs(lambda = h*c/(x*k*T), R/dxdl)

2*Pi*x^3*k^4*T^4/(c^2*h^3*(exp(x)-1))

(3.3)

``

Integrate Rx from zero to infinity to find the flux.

 

F := int(Rx, x = 0 .. infinity)

(2/15)*Pi^5*k^4*T^4/(c^2*h^3)

(3.4)

``

Calculate the constants to find F = 5.6761 * 10-8 T4. More accurately, the Stefan-Bolzmann law states: F = 5.6704 * 10-8 T4, where 5.6704 * 10-8 W m-2 K-4 is known as the Stefan-Boltzmann constant, symbolized by σ. The flux (F) is in W/m2. To obtain the total flux, multiply this by the surface area of the radiating object: F = 4 * π * radius2 * 5.6704 * 10-8 T4.

 

 

Solution (B) Wien's Displacement Law

Now derive Wien's law by finding the value of the wavelength, lambda, which maximizes the radiance R. Set the derivative equal to zero.

``

lmax := solve(diff(R, lambda) = 0, lambda)

Warning, solutions may have been lost

"(->)"

.20141*h*c/(k*T)

(4.1)

Define the constants.

``

h := 0.6626e-33; c := 0.2998e9; k := 0.1381e-22

0.6626e-33

(4.2)

``

Example: A star with a temperature of 6000 K.

 

Rename R as R6 and set the temperature to 6000 K.

``

T := 6000; R6 := R

6000

(4.3)

plot(R6, lambda = 0 .. 0.2e-5)

The general form of Wien's law is λmax T = 2.8978 * 10-3 (Karttunen et al., 2014, p. 105).

 

 

Solution (C) Colour Index

Colour is related to temperature. Consider filters that have the following colour ranges: blue: 400-500 nm; red: 600-700 nm.

 

lblo := 0.400e-6; lbhi := 0.500e-6; lrlo := 0.600e-6; lrhi := 0.700e-6

0.400e-6

(5.1)

``

Use the colour index formula.

``

CI6 := 2.5*log[10](evalf((int(R6, lambda = lblo .. lbhi))/(int(R6, lambda = lrlo .. lrhi))))

.1828804106

(5.2)

NULL

(A correction constant of integration must be added to this value.)

 

Usually, actual measurements are made using blue and visual filters. In the standard Johnson and Morgan system, the blue (B) filter is centred at 436 nm and has a spread of 94 nm. The visual (V) filter is centred at 545 nm and has a spread of 88 nm. A star is viewed through each filter, and a photometer measures the flux. The ratio of the fluxes is then used to determine the colour index (Karttunen et al. 2007, p. 87).

 

B-V = -2.5*log[10](F[B]/F[V]): 

 

References

_______________________________________________

 

Karttunen, H. et al. (2007). Fundamental Astronomy (5th ed.). Berlin: Springer.

 

 

 

NULL