Application Center - Maplesoft

App Preview:

Radiative Pressure

You can switch back to the summary page by clicking here.

Learn about Maple
Download Application




Radiative Pressure

Problem

A circular solar sail with 100% reflectivity and a radius (R) of 600 m. is at rest in the Earth's orbit. The sail is oriented so that its normal points directly to the Sun. The total mass of the sail and its payload "(m[sail]") is 900 kg. The sail moves toward Mars along a trajectory of increasing r. As it does so, its velocity (v) and acceleration (a) increase. Calculate the radiative pressure on the sail, a(r), v(r), v at the orbit of Mars, and how many days are required to reach Mars. (Other symbols used: c (speed of light), M[sun](mass of Sun), L (solar luminosity), r0 (astronomical unit)., rm (distance from Sun to Mars).

``

Hints:

 

The problem is most easily solved by doing the calculations in the order mentioned in the problem statement.

When integrating over the distance travelled, integrate from 1.496*10^11 to (1.524*1.496)*10^11.

 

with(ScientificConstants)

 

Data

 

G := evalf(Constant(G, units))

0.6673e-10*Units:-Unit(('m')^3/(('kg')*('s')^2))

(2.1)

``

c := evalf(Constant(c, units))

299792458.*Units:-Unit(('m')/('s'))

(2.2)

NULL

M[sun] := evalf(Constant(M[Sun], units))

0.199e31*Units:-Unit('kg')

(2.3)

 

NULL

m[sail] := 900*Unit('kg') 

R := 600

L := 3.845*10^26*Unit('W')

r0 := 1.4960*10^11*Unit('m')

rm := 1.524*10^11*Unit('m')

NULL

 

 

``

Useful Equations

 

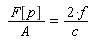
Pressue of Fully Reflective Sail Pointing Directly Toward Light Source. Total Flux on the Sail is 2f.

F[p]/A = 2*f/c  

 

Luminosity as a Function of Flux

 L = 4*Pi*r^2*f  

 

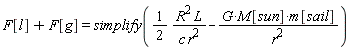
Total Force = Light + Gravity

F[l]+F[g] = (1/2)*R^2*L/(c*r^2)-G*M[sun]*m[sail]/r^2  

 

Velocity as a Function of Distance

int(v, v = v0 .. v(r)) = int(a(rho), rho = r0 .. r) 

 

Time as a Function of Velocity

t = int(1/v, rho = r0 .. r)  

 

 

Solution

The formula for radiative pressure on a perfectly reflecting surface is:

 

P = 2*f*cos(theta)^2/c

 

For a perfectly reflecting sail pointing directly to the Sun and with pressure expressed as force per unit area:

 

F[p]/A = 2*f/c

``

Since

 

L = 4*Pi*r^2*f

``

F[p] = 2*Pi*R^2*L/(4*c*Pi*r^2)

F[p] = 0.2308597103e24*Units:-Unit('m')^2*Units:-Unit('W')/(Units:-Unit(('m')/('s'))*r^2)

(4.1)

``

where R is the radius of the sail, L is the luminosity of the Sun, c is light speed, and r is the distance to the Sun. The force of gravity exerted by the Sun is

 

F[g] = -G*M[sun]*m[sail]/r^2

 

Thus the total force (light + gravity) on the sail is:

 

F[l]+F[g] = simplify((1/2)*R^2*L/(c*r^2)-G*M[sun]*m[sail]/r^2)

F[l]+F[g] = 0.1113462803e24*Units:-Unit(('m')^3*('kg')/('s')^2)/r^2

(4.2)

NULLNULLNULL

Divide the force on the sail by its mass to get the acceleration as a function of distance:

 

a(r) = (R^2*L/(2*c*m[sail])-G*M[sun])/r^2

a(r) = (0.2565107892e21*Units:-Unit('m')^2*Units:-Unit('W')/(Units:-Unit(('m')/('s'))*Units:-Unit('kg'))-0.1327927e21*Units:-Unit(('m')^3/(('kg')*('s')^2))*Units:-Unit('kg'))/r^2

(4.3)

"(->)"

a(r) = 0.1237180892e21*Units:-Unit(('m')^3/('s')^2)/r^2

(4.4)

NULL

``

Calculate the velocity:

NULL

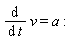
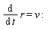
diff(v, t) = a

 

diff(r, t) = v

NULL

Therefore,

 

v*dv = a*dr

NULL

int(v, v = v0 .. v(r)) = int(a(rho), rho = r0 .. r)

``

(1/2)*v^2 = 1.237180892*10^20*Unit('m'^3/'s'^2)*(1/(1.496*10^11*Unit('m'))-1/(rho*Unit('m')))

NULL

sqrt((2*1.237180892)*10^20)

0.1573010421e11

(4.5)

``

``

v = 1.573010421*10^10*sqrt(1/(1.496*10^11)-1/rho)

NULL

Substituting the distance to Mars (1.524 A.U.) for the dummy variable ρ:

 

 

simplify(v = 1.573010421*10^10*sqrt((1/(1.496*10^11*Unit('m'))-1/((1.524*1.496)*10^11*Unit('m')))*Unit('m'^3/'s'^2)))

v = 23847.28615*Units:-Unit(('m')/('s'))

(4.6)

``

The sail would be moving at 23.8 km/sec by the time it reached the orbit of Mars.

 

To calculate the time required for the voyage:

NULL

t = int(1/v, rho = r0 .. r)

``

t = int(1/(1.573010421*10^10*sqrt(1/(1.496*10^11)-1/rho)), rho = 1.496*10^11 .. (1.524*1.496)*10^11)

t = 5759544.061

(4.7)

NULL

NULL

(t = 5759544.061)*(1/(60*(24*60)))

(1/86400)*t = 66.66138959

(4.8)

NULL

It would take about 67 days for the solar sail to reach the orbit of Mars.

 

A more accurate formula would take into consideration  the reflectivity of the sail:

 

F = F[s]*A[s]*(1+rho)*cos(theta)/c

 

where Fs is the solar constant (1358 W/m2), c is the speed of light, A[s] is the area of the sail, ρ is the surface reflectance (1 for perfect reflectance), and θ is the angle of incidence (Sellers, 2004).

-----------------------------------------------------------------------------------

References

 

Sellers, J. (2004). Understanding Space: An Introduction to Astronautics. Boston: Custom Publishing.

 

``