Application Center - Maplesoft

App Preview:

Calculus II: Lesson 7: Applications of Integration 5: Moments and Center of Mass

You can switch back to the summary page by clicking here.

Learn about Maple
Download Application


 

L7-integrationAppsCentermass.mws

Calculus II

Lesson 7:  Applications of Integration 5: Moments and Center of Mass

Moments and Center of Mass

Center of mass of a Wire

Suppose  we  have a wire   l   feet long  whose  density is rho(x)   pounds per foot at the point x  feet from the left hand end of the wire.  What is the total mass of the wire and where is its center of mass ,    i.e., the point cm about which the total moment of the wire is 0?

  • Mass   Chop the wire into  n small pieces each   Delta*x[i]  feet long and pick an arbitrary point c[i]  in each piece.  An approximation to the mass of the ith piece of wire is rho(c[i])*Delta*x[i] , so an approximation to the total mass   is Sum(rho(c[i])*Delta*x[i],i = 1 .. n)  .   This approximate mass is a Riemann sum     approximating the integral    Int(rho(x),x = 0 .. l) , and so the mass of the wire is defined as the value of this integral.
  • Center of mass :    Chopping as above,  the approximate moment     of the ith piece about the center of mass cm is   (c[i]-cm)*rho(c[i])*Delta*x[i]  and so the total approximate moment is Sum((c[i]-cm)*rho(c[i])*Delta*x[i],i = 1 .. n) .  This is seen to be a Riemann sum approximating the integral   Int((x-cm)*rho(x),x = 0 .. l) .   But the center of mass is defined as the point about which the total moment is zero so the integral satisfies the equation Int((x-cm)*rho(x),x = 0 .. l) = 0 .   Using properties of integrals, we can solve this equation for cm, to get the ratio of integrals   cm = Int(x*rho(x),x = 0 .. l)/Int(rho(x),x = 0 .. l)  .   Note the top integral represents the total moment of the wire about its left end (x=0) and the bottom integral is the total mass of the wire.

Exercise:   Find the center of mass of a  wire  1 foot long  whose density at a point x inches from the left end is  10 + x + sin(x)  lbs/inch.

Ex. 1

   Locate the centroid of the plane area enclosed between the curve    y = x^2+3*x , and between the y axis and the line x=3.

>    restart:with(plots):

Warning, the name changecoords has been redefined

>    f:=x->-x^2+3*x;

f := proc (x) options operator, arrow; -x^2+3*x end proc

>    A:=int(f(x),x=0..3.0);

A := 4.500000000

>    C[x]:=int(x*f(x),x=0..3)/A;

C[x] := 1.500000000

>    C[y]:=int(f(x)^2,x=0..3.0)/(2*A);

C[y] := .9000000000

>    p1:=plot(f(x),x=0..3):

>    p2:=pointplot([[C[x],C[y]]],symbol=circle):

>    display(p1,p2);

[Maple Plot]

 The centroid lies on the line of symmetry of the surface area as could be anticipated.  Now we add a slight complication.

Ex. 2

We plot sin(x) and a circle centered at ( Pi/2, 1 )  with radius 1 and locate the centroid of the resulting figure.

>    restart: with(plots):

Warning, the name changecoords has been redefined

>    f:=x->sin(x);

f := sin

>    Eq1:=(x-Pi/2)^2+(y-1)^2=1;

Eq1 := (x-1/2*Pi)^2+(y-1)^2 = 1

>    Y:=solve(Eq1,y);

Y := 1+1/2*(4-4*x^2+4*x*Pi-Pi^2)^(1/2), 1-1/2*(4-4*x^2+4*x*Pi-Pi^2)^(1/2)

>    g:=unapply(Y[2],x);

g := proc (x) options operator, arrow; 1-1/2*(4-4*x^2+4*x*Pi-Pi^2)^(1/2) end proc

>    plot({f(x),g(x)},x=0..3,scaling=constrained);

[Maple Plot]

Now we will find the centroid of the area enclosed by the two plots.  First we note that the area we are interested in is described by   f(x)-g(x).  The center of each strip is   (f(x)+g(x))/2  above the x axis.  The length of each strip is  f(x)-g(x) .

The formulas for the centroid therefore require modification to:

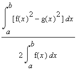
C[x] = Int(x*[f(x)-g(x)],x = a .. b)/Int([f(x)-g(x)],x = a .. b)        C[y] = Int([f(x)-g(x)]*[f(x)+g(x)],x = a .. b)/(2*Int(f(x),x = a .. b))  = Int([f(x)^2-g(x)^2],x = a .. b)/(2*Int(f(x),x = a .. b))

First we find the limits of integration by finding the points of intersection of the two curves.

>    x1:=fsolve(f(x)=g(x),x=0..1);

x1 := .6515172684

>    x2:= fsolve(f(x)=g(x),x=2..3);

x2 := 2.490075385

>    A:=int(f(x)-g(x),x=x1..x2);

A := 1.279850245

>    C[x]:=int(x*(f(x)-g(x)),x=x1..x2)/A;

C[x] := 1.570796326

>    C[y]:=int((f(x)^2-g(x)^2),x=x1..x2)/(2*A);

C[y] := .5072505805

>    p1:=plot({f(x),g(x)},x=0..3,scaling=constrained, labels=[x,y]):

>    p2:=pointplot([[C[x],C[y]]],symbol=circle):

>    display(p1,p2);

[Maple Plot]

This certainly looks about right.

Pappus' Theorem

>   

Ex. 3

Given the ellipse: (x-5)^2/9+(y-7)^2/4 = 1  .  Find the surface area of the solid of revolution about the x axis. We rotate the ellipse around the x axis.  

>    restart: with(plots):

Warning, the name changecoords has been redefined

>    Eq1:=(x-5)^2/9+(y-7)^2/4=1;

Eq1 := 1/9*(x-5)^2+1/4*(y-7)^2 = 1

>    E:=solve(Eq1,y);

E := 7+2/3*(-16-x^2+10*x)^(1/2), 7-2/3*(-16-x^2+10*x)^(1/2)

plot3d

>    plot3d({[x,E[1]*cos(theta),E[1]*sin(theta)],[x,E[2]*cos(theta),E[2]*sin(theta)]} ,x=2..8,theta=0..2*Pi,scaling=constrained,axes=boxed,color=theta);

[Maple Plot]

          Since, by symmetry, we know that the centroid of the ellipse is at (5,7) and the area of an ellipse is   Pi (semi-major axis) x (semi-minor axis),  we immediately have, for the volume of the resulting solid;

>    Volume:=2*Pi*7*Pi*3*2;

Volume := 84*Pi^2

 Center of mass of a solid of revolution

If   0 <= y*`=`*f(x)  for   a <= x*`<=`*b , then let S be the solid of revolution     obtained by rotating the region under the graph of f around the x axis. We know how to express the volume of S as an integral: Just integrate from a to b the  crossectional area Pi*f(x)^2  of the solid S to get   Volume = Int(Pi*f(x)^2,x = a .. b)

Now how would we  find the center of mass     of the solid, assuming it's made of a homogeneous material? Well, it's  clear that the center of mass will be somewhere along the x-axis between a and b.    Let CM be the center of mass.  Partition   [a, b]  into n subintervals [x[i], x[i+1]]  and using planes  perpendicular to [a, b]  approximate the solid S with the n disks where the ith one has volume    Delta*V[i] = Pi*f(x[i])^2*Delta*x[i]

Now the signed moment of the ith disk about the point CM is    M[i] = (x-CM)*Delta*V[i]   and the sum of these moments will be approximately 0, since CM is the center of mass.  If we let Delta*x[i]  go to zero  this  approximate equation becomes an equation for the center of mass:

>    CMequation :=  int((x-CM)*Pi*f(x)^2,x=a..b) =0;

CMequation := int((x-CM)*Pi*f(x)^2,x = a .. b) = 0

Useing properties of integrals, we can solve this equation for CM.

>    sol := solve(CMequation,{CM} )   ;

sol := {CM = int(f(x)^2*x,x = a .. b)/int(f(x)^2,x = a .. b)}

Notice that the center of mass of the solid of revolution is the same as the center of mass of a wire whose density at x  is the area of the cross-section.

We can define a word cenmass  which takes a function  f, an interval [a,b], and locates the center of the solid of revolution.

>    cenmass := proc(f,a,b)  
 int(x*f(x)^2,x=a..b)/int(f(x)^2,x=a..b) end:

For example, the center of  the solid obtained by rotating the region R under the graph of   y = cos(x)  for x between 0 and pi/2  is

>    cenmass(cos,0,Pi/2);

4*(1/16*Pi^2-1/4)/Pi

Now we can define a word to draw the solid and locate the center of mass.

>    drawit := proc(f,a,b)
 local cm, solid;
### WARNING: the definition of the type `symbol` has changed'; see help page for details
  cm := plots[pointplot3d]([evalf(cenmass(f,a,b)),0,0],color=red,symbol=box,thickness=3):
  solid := plots[tubeplot]([x,0,0],x=a..b,radius=f(x),numpoints=20,tubepoints=30, style=wireframe);
plots[display]([cm,solid],scaling=constrained); end:

Test this out.

>     drawit(cos+2,0,7);

[Maple Plot]

>    numFrames := 40;

numFrames := 40

>    b := 10;

b := 10

We can animate the motion of the center of mass as the solid changes.

>    plots[display]( [seq(drawit(2+cos,0,(i/numFrames)*b), i=1..numFrames)],
insequence=true);

[Maple Plot]

>   

 Practice

Practice

1.  Find the centroid of each of the following figures.

       a.  The triangle formed by the x axis, the y axis and the line y = 4-2*x  

       b.  The area enclosed by the x axis, the y axis and the curve y = x^2-4*x+4

       c.  The area enclose by the curves: y = x^3-2*x+3  and y = x^2+3

2.  An equilateral triangle, 2 units on each side, is rotated around a line parallel to,  and 2 units from,  one side.  Find the surface area and the volume of  the resulting solid.

3. Find the center mass of a homogeneous hemispherical solid.

4. A homogeneous solid is in the shape of a parabolic solid of revolution obtained by rotating the graph of y=x^2, x in [0,a] around the y axis, for some positive number a. If the center of mass is at y=10, what's a?