Conversion linear partial differential equations with two variables to canonical form
by Aleksas Domarkas
Vilnius University, Faculty of Mathematics and Informatics,
Naugarduko 24, Vilnius, Lithuania
aleksas@ieva.mif.vu.lt
NOTE: In this session we find change of variables which reduct linear second-order partial differential equation with two variables to canonical form.
Introduction
Warning, the protected names norm and trace have been redefined and unprotected
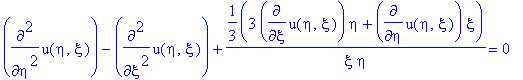
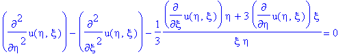
Program mcan find change of variables which reduct linear second-order partial differential equation
with two variables , to canonical form.
Program chvar reduct equation to canonical form
coeffs
Coefficients of equations :
mcan
chvar
Examples
Remark
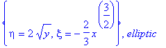
In examples 4-7, 21 you can make assumptions about signum of x,y
Other method with PDEtools[dchange]
Other method with solve and PDEtools[dchange]:
Note: this method have problems in 11 and 21 examples.
While every effort has been made to validate the solutions in this worksheet, Waterloo Maple Inc. and the contributors are not responsible for any errors contained and are not liable for any damages resulting from the use of this material.
Back to contents