MATEMATICAS
CON MAPLE
Para Estudiantes y Profesores
MAPLE V Versin...:. 5.1
Captulo IV - Clculo I
Documento: Maple Manual Calculo
Captulo: IV - Clculo I
Elabor: Csar Ivn Tinoco.
Versin: 26 de Junio del 2.000
Lmites:
El lmite de una sucecin o de una funcin se calcula en Maple con la orden limit
Orden ........: limit
Sintxis ......: limit (expresion, variable= a , opcin)
Propsito ...: Calcular el lmite de la expresin , cuando variable tiende a..: a . Veamos algunos ejemplos:
> restart: f1:=(n^2)/(n+1); limit(f1,n=infinity);
> f2:=(x^2-sqrt(x))/(sqrt(x)-1); limit(f2,x=1);
> f3:=(cos(x))/(sqrt(1-sin(x))); limite:=limit(f3,x=0);
> f4:=(x+2)/(x^2-4*x+3); limit(f4,x=3,left); limit(f4,x=3,right); limit(f4,x=3); limit(f4,x=2); limit(f4,x=4);
Como se puede observar, los lmites laterales de la funcin no son iguales, por tanto el lmite no existe. Intentemos ver estos resultados en un grfico
> with(plots): plot(f4,x=0..6,y=-100..100,title=`Limite x-->3`);
Warning, the name changecoords has been redefined
Derivadas :
Tal ves uno de los conceptos ms importantes del Clculo, en todos los niveles, inicialmente trataremos de calcular algunas derivadas y luego intetaremos estudiar el concepto de Derivada de una funcin desde el punto de vista grfico:
Orden ........: diff
Sintxis ......: diff (expresin, variable)
Propsito ...: Calcular la derivada de expresin en terminos de variable .
> restart; f1:=sin(x); diff(f1,x); f2:=3*x^2+5*x+5; diff(f2,x);
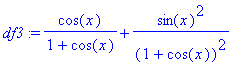
> f3:=(sin(x))/(1+cos(x)); df3:=diff(f3,x); simplify(%);
> f4:=(x^2+3*x)*(2*sin(2*x)); diff(f4,x); simplify(%);
Tambin podemos calcular derivadas de funciones de ms de una variable, es decir, derivadas parciales:
> f1:=(x^2+y^2); diff(f1,x); diff(f1,y); diff(f1,x,y),diff(f1,x,x),diff(f1,y,y);
Los anteriores ejemplos calculan:
- Derivada de f ( x , y ) respecto a x.
- Derivada de f ( x , y ) respecto a y.
- Derivada de f ( x , y ) respecto a y respecto a y.
- Derivada de f ( x , y ) respecto a x respecto a x - Derivada de f ( x , y ) respecto a y respecto a y.
Podemos calcular derivadas parciales de orden superior, para lo cual usamos el operador $ en la variable.
> f1:=x^4-y^5; diff(f1,x$3); diff(f1,y$3);
> f2:=x^2*sin(x); diff(f2,x$10);
Podemos derivar parcialmente en orden superior, es decir:
> f4:=exp((x/y)); diff(f4,x$3,y$2); simplify(%);
Hemos calculado:
Ahora, el operador de diferenciacin D, se usa para que al calcular la derivada de una funcin, Maple interprete este resultado como otra funcin y no como una expresin.
> f:=8*sin(3*x); df:=diff(f,x); evalf(subs(x=2,df));
> f:=x->8*sin(3*x); D(f); evalf(D(f)(2));
Podemos utilizar el operador D[](f) , para calcular derivadas parciales de orden superior.
Orden ........: D
Sintxis ......: D [ ndices ] (expresin)
Propsito ...: Calcular la derivada parcial de expresin, de acuerdo a los indices, los cuales representan el orden de las variables tal como aparecen en la definicin.
> f:=(x,y)->x^3+y^3; D[1](f); # Dx(f) D[2](f); # Dy(f) D[1,1,1](f); # Dxxx(f)
> f:=sin(2*x); g:=diff(f,x); plot({f,g},x=-Pi..Pi,title=`Una Funcin y su derivada`);
Ahora vamos a presentar graficamente el concepto de Derivada. Trazaremos varias rectas tangentes a un conjunto de puntos de una funcin y formaremos con las derivadas, la grfica de dicha funcin.
De la librera student usamos la opcin showtangent, que nos permite ubicar la derivada de una funcin en un punto.
Orden ........: showtangent
Sintxis ......: showtangent ( funcin, variable = a)
Propsito ...: Presenta la recta tangente a la curva funcin , en el punto correspondiente a la ordenada x = a
> with(student):with(plots): f1 := 15*x^2+3*x; lista := seq(showtangent(f1, x = i),i=-8..8): display(lista,title=`Derivadas de la Cuadrtica`);
Ahora una animacin de la recta tangente alrededor de la curva.
> display(lista,insequence=true,title=`Derivadas en un punto`);
Podramos hacer un programa para presentar las rectas tangentes del tamao que deseemos de tal forma que estas generen la curva. Las siguientes ordenes generan un nmero de rectas tangentes a un acurva.
1- Un cantidad de rectas tangentes que forman la curva.
2- Una recta tangente que se desplaza por la curva.
3- Un segmento de recta tangente a la curva que se desplaza por la misma en un animacin.
Las ordenes calculan:
1- Un conjunto de valores para x e y de acuerdo a la definicin de la funcin. 2- Un conjunto de rectas tangentes a la curva, teniendo encuenta:
y = mx+b
b = y-mx
> restart: with(plots): F := x^2; #sin(.6*x); #-.5*x^2+2*x+2; pF :=plot(F,x=-10..10): m := diff(F,x); cantidad :=40: X := [seq(-10+i/2,i=0..cantidad)]: Y := [seq(eval(F,x=X[i]),i=1..nops(X))]: Pendientes := [seq(eval(m,x=i),i=X)]: Cortes := [seq((Y[i]-Pendientes[i]*X[i]),i=1..nops(X))]: Rectas := [seq((Pendientes[i]*x+Cortes[i]),i=1..nops(X))]: Tangentes :=seq((plot(Rectas[i], x=-10..10)), i=1..nops(X)): display(Tangentes, insequence=true); display(Tangentes); largo :=.8; Segmentos :=seq((plot([[(X[i]-largo), eval(Rectas[i], x=(X[i]-largo))], [(X[i]+largo), eval(Rectas[i], x=(X[i]+largo))]], x=-10..10,color=magenta)), i=1..nops(X)): display(Segmentos,insequence=true);
Integrales:
Indefinidas:
La integral est definida como la antiderivada, como un lmite de una sumatoria como el rea bajo la curva de una funcin en un intervalo [a , b] .
Inicialmente trabajaremos el concepto de Antiderivada, es decir, S F( x ) es una funcin cuya derivada es f ( x ) entonces:
Orden ........: int
Sintxis ......: int (expresin, variable)
Propsito ...: Calcular la integran (antiderivada) de la expresin en terminos de la variable
> restart; F:=x^2; f:=diff(F,x); int(f,x);
> F:=sin(x^2)*cos(x); f:=diff(F,x); int(f,x); expand(%);
> f:=(x^4+1)/(x^4-1); F:=int(f,x);
> int(1/(x^5+1),x); # Un Poco complicado !!
Definidas:
Cuando interpretamos la integral como el rea bajo la curva de una funcin en un intervalo [ a ,b] entonces necesitamos calcular la integran definida.
Sintxis ......: int (expresion, variable=a..b)
Propsito ...: Calcular la integran definida de la expresin en terminos de la variable , que varia desde a hasta b .
> restart; f:=x; int(f,x=0..2);
> f1:=sin(x); int(f1,x=0..Pi);
Observe que el resultado de una integral indefinida es un nmero, que representa el rea.
Los ejemplos anteriores nos han permitido calcular el rea bajo la curva de las funciones x+2, y sin ( x ), en los intervalos especficos.
Vamos a observar la grfica de la funcin f ( x ) = x+2, en el intervalo [0,2], intente evaluar el area por debajo de esta curva.
> plot(x,x=0..2,title=`Funcin x`);
Ahora, vamos a calcular el rea comprendida entre dos curvas que se intersectan.
> f1:=x+2; f2:=x^2; cortes:=solve(f1=f2); area:=int(f1-f2,x=-1..2); X := [seq( i, i=-1..2)]; Y1 := [seq( x+2, x=X)]; Y2 := [seq( x^2, x=X)]; Puntos1 := [seq([X[i],Y1[i]],i=1..nops(X) )]; Puntos2 := [seq([X[i],Y2[i]],i=1..nops(X) )]; plot({f1,f2,Puntos1,Puntos2},x=-1..2,style=[line,line,point,point],title=`Area entre las curvas`);
Podemos calcular integrales doble o triples usando el comando int tantas veces como sea necesario.
> f1:=x^3+x^2+x; df1:=diff(f1,x); df2:=diff(df1,x); int(int(df2,x),x);
Existe un comando para aproximar graficamente el rea bajo la curva de una funcin por rectngulos, el cual usa la librera student.
Orden ........: middlebox, leftbox, rigthbox
Sintxis ......: middlebox (expresion, variable=a..b, n, shading, <options>)
Propsito ...: Genera, n cantidad de rectangulos por debajo de la curva de expresion , Tomados en la distancia media, por la izquierda y por la derecha.
El color de los rectangulos lo da la opcin shading .
Adems la orden leftsum , calcula la sumatoria de las areas de dichos rectngulos.
> restart:with(student): f1 := sin(x)*x+sin(x); n:=8; leftsum(f1, x=0..2*Pi, n): # Sumatorias value(%): suma:=convert(evalf(%),name): leftbox(f1, x=0..2*Pi, n, shading=cyan,title=`Area..: `||suma);
Ahora intentaremos presentar una "pelcula", aproximando el rea bajo la curva de una funcin desde un intervalo a hasta b , y presentando el valor del rea en la medida en que esta cambia.
> with(plots): f1 := sin(x)+cos(x); suma:=seq((evalf(value(leftsum(f1, x=Pi/4..2*Pi, i)))),i=4..25): area:=seq((convert(suma[i],name)),i=1..22): lista:=seq((leftbox(f1, x=0..2*Pi, i, shading=cyan,title=`Area..: `)),i=8..25): display(lista,insequence=true,title=`Aproximaciones del Area`);
Solucin de Ecuaciones:
Solucionar una ecuacin es encontran los valores para los cuales dicha ecuacin es verdadera. Las soluciones ms usadas son aquellas que buscan las raices de una expresin polinmica. Para tal efecto usaremos el comando: fsolve( expresin )
Orden ........: solve
Sintxis ......: solve( expresin , x , a..b)
Propsito ...: Calcula la solucin de expresin . Las raices del polinomio. Sobre la variable x en el intervalo a..b .
> restart; f1:=x^2+1; solve(f1,x); f2:=a*x^2+b*x+c; solve(f2,x);
Lo que nos arroja, incluso, una expresin algebrica para la solucin de una funcin cuadrtica.
Cuando la funcin la definimos nosotros mismos, podemos usar el comando fsolve. Vamos a solucionar una expresin definida por nosotros y ubica los puntos de la solucin en un grfico.
> with(plots): f3:=x^4+2*x^2+x; raices:=fsolve(f3,x,-2..2); puntos:=([raices[1],0],[raices[2],0]); p1:=plot(f3,x=-1..1): p2:=plot([puntos],x=-1..1,style=point,color=blue,thickness=3,symbol=circle): display({p1,p2});
Supongamos ahora que deseamos calcular los puntos de interseccin de una recta y una cuadrtica:
> Linea:=2*x+4; Cuadratica:=x^2+2*x+3; Sol:=fsolve(Linea=Cuadratica,x); #subs( x=2, x^2+x+1 ); digits:=2; Puntos:=([Sol[1],subs(x=Sol[1],Linea)],[Sol[2],subs(x=Sol[2],Linea)]); plot({Linea,Cuadratica,[Puntos]},x=-5..5,style=[point,line,line],color=[red,blue,black]);
Hemos usado la opcin de remplazar o sustituir una variable en una ecuacin. La sistxis es la siguiente:
Orden ........: subs
Sintxis ......: subs( x=a,expresin)
Propsito ...: Remplaza el valor de la variable x en la expresin .
> subs(x=a,x^2+3*x+4);
Ecuaciones Diferenciales
Una ecuacin diferencial es de la forma...:
Orden ........: dsolve
Sintxis ......: dsolve(expresion, variables)
Propsito ...: Resuelve una ecuacin diferencial, expresin , en termino de las variables, variables
Aqui debemos tener en cuenta elorden de la derivada a la cual nos estamos refiriendo, por ejemplo:
1- diff ( f , x ) Se refiere a la primera derivada de f respecto a x.
2- diff ( f , x$n ) Se refiere a la n-esina derivada de f respecto a x.
Adems al resolver una ecuacin diferencial aparecern distintas constantes que representan las familia de soluciones.
La ecuacin..:
Es una ecuacin diferencial que podemos escribir y solucionarla para y integrando, es decir:
esto es...:
Observelo ahora, escrito a manera de la solucin de una Ecuacin Diferencial, para un valor inicial de y(0) = v .
> ecuacion:=D(y)(t)=a; dsolve(ecuacion,y(t)); dsolve({ecuacion,y(0)=v},y(t));
> ec:=diff(y(t),t$2)=-g; cond:=y(0)=3,D(y)(0)=5; dsolve(ec,y(t)); dsolve({ec,cond},y(t));
>