Application Center - Maplesoft

App Preview:

Movimiento De Un Vibrador De Dos Grados De Libertad

You can switch back to the summary page by clicking here.

Learn about Maple
Download Application


 

VIBRADOR_DOS_GRADOS_LIBERTAD.mws

MOVIMIENTO DE UN VIBRADOR DE DOS GRADOS DE LIBERTAD

Patricia Cuadros, Zulma H. Milln, y Laura Oliva
Facultad de Ingeniera - Universidad Nacional de San Juan - Argentina
pcuadros@unsj.edu.ar - zmillan@unsj.edu.ar

NOTA : Este trabajo es una propuesta que permite ver en una aplicacin de Ingeniera Civil la integracin de conceptos de lgebra lineal y de ecuaciones diferenciales. Mostrando la facilidad y agilidad que brinda el uso de software, como Maple V, release 7 para resolver un sistema de ecuaciones diferenciales ordinarias que modelan el movimiento de un vibrador de dos grados de libertad .
El ejemplo planteado es tema de los ltimos cursos de la carrera mencionada, tiende a que el alumno revea y aplique a planteos especficos lo aprehendido en los primeros aos. Como as tambin sea de utilidad a docentes del ciclo superior.
Nuestro objetivo es que el alumno utilice MapleV- Release 7 como soporte didctico a fin de concentrar sus esfuerzos en integrar y articular  conceptos, solucionar problemas y visualizar resultados sin realizar clculos innecesarios. Se sugiere que el alumno asista a clases terico-prcticas y una vez concluido el desarrollo de la unidad temtica, participe de clases de gabinete de computacin, donde resuelva una gua confeccionada especialmente para afianzar los contenidos ya vistos.

Ejemplo:

Dado un prtico plano de dos niveles, se propone encontrar la ecuacin del movimiento de un vibrador lineal de dos grados de libertad, sin amortiguamiento, sus frecuencias naturales y modos de vibracin.

[Maple Metafile]

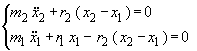
El sistema de ecuaciones de ecuaciones diferenciales que modela el problema es:

 
[Maple OLE 2.0 Object]      m : masa ,  r : rigidez ,  x : desplazamiento

este es un problema con condiciones iniciales: t=0, x=0 e
[Maple OLE 2.0 Object] .
Escribiendo el sistema de ecuaciones diferenciales en forma matricial resulta:

  [Maple OLE 2.0 Object]                   (1)

En este caso en el que solo se considera un grado de libertad por piso, que es el desplazamiento, la matriz de rigidez [r] que tenemos, no es la matriz de rigidez general de la estructura si no que esta referida slo a los desplazamientos de las masas, es decir que relaciona los desplazamientos de esas masas con las fuerzas necesarias para producirlos.
La solucin general de la ecuacin  homognea (1) ser:

[Maple OLE 2.0 Object]
[Maple OLE 2.0 Object]

Considerando las condiciones iniciales de nuestro problema y reemplazando en la ecuacin

[Maple OLE 2.0 Object]
 0 = A
la solucin particular es:
[Maple OLE 2.0 Object]

[Maple OLE 2.0 Object]   es el vector de las amplitudes de cada piso

reemplazando en la ecuacin (1):

 
[Maple OLE 2.0 Object]

 
[Maple OLE 2.0 Object]

 
[Maple OLE 2.0 Object]

 
[Maple OLE 2.0 Object]

Las matrices de masa y rigidez son reales, simtricas y definidas positivas, lo que permite la estabilidad del sistema estructural.
[Maple OLE 2.0 Object]
 
 
[Maple OLE 2.0 Object]                             (2)
esta es la expresin fundamental del problema. La matriz Di es de coeficientes constantes e independientes de t.


Usando el software Maple V el problema se introduce de la siguiente forma:

>    restart:

>    with(linalg):

Warning, the protected names norm and trace have been redefined and unprotected

Warning, the protected names norm and trace have been redefined and unprotected

>    m2:=14: m1:=24:

>    r2:=29154,5: r1:=46296,3: r:=75450,8:

>    M:=array([[m2,0],[0,m1]]);

M := matrix([[14, 0], [0, 24]])

>    R:=array([[29154.5,-29154.5],[-29154.5,75450.8]]);

R := matrix([[29154.5, -29154.5], [-29154.5, 75450.8]])

>    invR:= inverse(R);

invR := matrix([[.5590002054e-4, .2159999826e-4], [.2159999826e-4, .2159999826e-4]])

>    Di:= multiply(invR,M); # matriz dinmica

Di := matrix([[.7826002876e-3, .5183999582e-3], [.3023999756e-3, .5183999582e-3]])

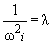
La ltima ecuacin plantea un problema de autovalores y autovectores, en el cual los valores de las amplitudes de un modo de vibracin i forman el vector   [Maple OLE 2.0 Object]  , y el autovalor correspondiente es [Maple OLE 2.0 Object] .  Obtener la solucin significa encontrar un vector que multiplicado por la matriz dinmica nos de el mismo vector incrementado en   [Maple OLE 2.0 Object] .

Ntese que (2) es no lineal, ya que involucra el producto de ambas incgnitas (
[Maple OLE 2.0 Object] )

[Maple OLE 2.0 Object]

>    A:=charmat(-1*Di,-lambda); # matriz caracterstica de la forma A= lambda*I-Di

A := matrix([[-lambda+.7826002876e-3, .5183999582e-3], [.3023999756e-3, -lambda+.5183999582e-3]])

polinomio caracterstico de la matriz:  ecuacin de frecuencia del problema planteado

>    det(A);

lambda^2-.1301000246e-2*lambda+.2489358217e-6

>    charpoly(Di,lambda); # sentencia que brinda directamente el polinomio caracterstico

lambda^2-.1301000246e-2*lambda+.2489358217e-6

>    solve(%); # raices de la ecuacin caracterstica, que son los autovalores de la matriz Di

.1067890334e-2, .2331099119e-3

obtencin de autovalores y autovectores de Di

>    eigenvals(Di);

.1067890334e-2, .2331099119e-3

>    V:=eigenvects(Di);

V := [.2331099119e-3, 1, {vector([-.7088294310, .7513406285])}], [.1067890334e-2, 1, {vector([.8760945149, .4821393998])}]

>    lambda1:=V[1][1]; # primer autovalor

lambda1 := .2331099119e-3

>    V[1][2]; # orden de multiplicidad

1

>    V1:=V[1][3]; # correspondiente autovector

V1 := {vector([-.7088294310, .7513406285])}

>    lambda2:=V[2][1]; # segundo autovalor

lambda2 := .1067890334e-2

>    V[2][2]; # orden de multiplicidad

1

>    V2:=V[2][3]; # correspondiente autovector

V2 := {vector([.8760945149, .4821393998])}

frecuencias del sistema:

>    omega1:=1/sqrt(lambda1); # frecuencia de vibracin del primer modo

omega1 := 65.49673182

>    omega2:=1/sqrt(lambda2);# frecuencia de vibracin del segundo modo

omega2 := 30.60107422

>    with(plots):

Warning, the name changecoords has been redefined

>    P1:=V2[1];#Selecciona el nico elemento de V2

P1 := vector([.8760945149, .4821393998])

>    x:=[0,P1[2],P1[1]];

x := [0, .4821393998, .8760945149]

>    y:=[0,1,2];

y := [0, 1, 2]

>    pares:=(x,y)->[x,y];

pares := proc (x, y) options operator, arrow; [x, y] end proc

>    P:=zip(pares,x,y); # mezcla las listas o vectores x,y en una nueva lista cuyos elementos son el resultado de aplicar la funcin pares a cada par de elementos.

P := [[0, 0], [.4821393998, 1], [.8760945149, 2]]

>    plot(P,title=`modo de vibracin 1`);

>   

[Maple Plot]

>    P2:=V1[1]; # Selecciona el nico elemento de V1

P2 := vector([-.7088294310, .7513406285])

>    x:=[0,P2[2],P2[1]];

x := [0, .7513406285, -.7088294310]

>    y:=[0,1,2];

y := [0, 1, 2]

>    pares:=(x,y)->[x,y];

pares := proc (x, y) options operator, arrow; [x, y] end proc

>    PP:=zip(pares,x,y);

PP := [[0, 0], [.7513406285, 1], [-.7088294310, 2]]

>    plot(PP,title=`Modo de Vibracin 2`);

[Maple Plot]

>   

Conclusion:

Con este ejemplo el alumno debe integrar conceptos de lgebra lineal y ecuaciones diferenciales aprehendidas en los primeros cursos, al estudio de temticas propias de la carrera de Ingeniera Civil en su ciclo superior, permitiendo completar una formacin integral, con uso de un software, que por sus caractersticas simblicas permite hacer un seguimiento de todos los pasos tericos sin dificultad. Siendo esto una herramienta de utilidad para el docente, pudiendo motivar al alumno al planteo distintas situaciones problemticas.

Bibliografa:

STRANG, - Algebra lineal y sus Aplicaciones - Addison - Wesley Iberoamericana
BOYCE, William E., DI PRIMA, Richard C. - Ecuaciones diferenciales y problemas con valores de fronteras.
ZILL, Dennis - Ecuaciones diferenciales con aplicaciones - Grupo Editorial Iberoamericana
PAZ, Mario -  Dinmica Estructural, teora y clculo - Editorial Revert SA.
CHOPRA, Anil K. - Dinamics of structures, theory and applications to earthquake engineering - Prentice Hall  
CLOUGH, Ray, PENZIEN, Joseph - Dynamics of structures - McGraw Hill