Application Center - Maplesoft

App Preview:

Description of Mechanical Systems by the Use of Quadripole Parameters

You can switch back to the summary page by clicking here.

Learn about Maple
Download Application


 

Impedanz.mw

Description of Mechanical Systems by the Use of Quadripole Parameters

Harald Kammerer

The author expects that this worksheet will only be used for teaching and educational purposes and not for commercial profit without contacting the author for a licensed agreement.

The following numerical values are only academic examples and have no reference to real structures.

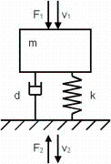
Motivation

Let's consider a mechanical device defined with an input gate and an output gate. At the input gate there are two values of the force F[1] and the velocity v[1] .  At the output gate there are the two values of the force F[2] and the velocity v[2] . So we have all in all two gates and four items. This system can be described in the equivalent manner as an electrical quadripole. So we call this system a mechanical quadripole. Such a quadripole is shown in Figure 1.

[Inserted Image]

For example in [2] there is some more detailed description of this method. Here we will give a first introduction in this theory.

We can consider it as a black box. It is not important of what the device consists. It is only important how it works. In this worksheet we will see how we can use this method to work with some special dynamical systems. But first we have to give some conditions for the  mechanical systems. Perhaps not all of the following conditions are necessary, but they will help to understand this idea.

> restart:

> with(linalg):with(plots):

We define a helpful procedure first. This procedure is used in the following to convert complex values into the standard form z = a+I*b .

> complexextension:=proc(a)

> local z,n,zr,nr,zi,ni,zbr,zbi,nb,b;

> z:=numer(a);

> n:=denom(a);

> zi:=coeff(z,I);

> zr:=simplify(z-zi*I);

> ni:=coeff(n,I);

> nr:=simplify(n-ni*I);

> zbr:=(zr*nr+zi*ni);

> zbi:=(zi*nr-zr*ni);

> nb:=(nr**2+ni**2);

> b:=simplify(zbr/nb)+simplify(zbi/nb)*I;

> end:

Conditions

At first we assume that all  motions are harmonic vibrations. All other kind of motions must be analyzed by use of a Fourier transformation. Further, the devices should be a straight line. There is only one input gate and one output gate. That means for example that no rocking of the foundation is possible. We consider devices with linearly dependantence between the force and the displacement, velocity or the acceleration is possible. For example no Duffing device is considered.

All the following relations are defined by use of the angular frequency Omega . For practical use it is usual to consider the frequency f . The relation between Omega and f is

> sub1 := Omega = 2*Pi*f

sub1 := Omega = 2*Pi*f

Description of the motion

Every motion, especially every harmonic vibration, can be described by the displacement, the velocity or the acceleration. Of course there are some constants of integration, but in our consideration they are not important.
We describe here the motion by the velocity, as shown in Figure 1. The velocity should be given as a harmonic vibration in complex notation.

> v(t) := v0*exp(I*Omega*t)

The displacement is can be integrated from the velocity

> x(t) := int(v(t), t)

x(t) := -I*v0*exp(I*Omega*t)/Omega

And the acceleration is derived from the velocity

> a(t) := diff(v(t), t)

a(t) := I*v0*Omega*exp(I*Omega*t)

Here we express the displacement and the acceleration by the velocity. This allows us to generate a formalism to describe any device. For example the displacement x[1](t) and acceleration a[1](t) are expressed by the velocity v[1](t)

> x[1](t) := x(t)*v[1](t)/v(t)

x[1](t) := -I*v[1](t)/Omega

> a[1](t) := a(t)*v[1](t)/v(t)

a[1](t) := I*Omega*v[1](t)

Impedance

We have assumed that the forces are linearly dependant on the displacement, velocity or the acceleration. Additionally we assumed that only harmonic vibrations are considered. This means that we can write for the relation between force and velocity

F(t) = R*v(t)

or

R = F(t)/v(t)

R is called the impedance of a device or a structure.

Impedances of Standard Devices

Let's consider some typical devices and their impedances.

Spring

First consider the spring in Figure 2.

[Inserted Image]

Figure 2

The displacement at the upper end of the spring should be given by x[1](t) , the velocity is v[1](t) .

The force which is neededed to produce this displacement is

> F1[spring](t) := k*x[1](t)

For the impedance of the spring we get

> R[spring] := F1[spring](t)/v[1](t)

R[spring] := -I*k/Omega

Damper

We repeat the same consideration for a viscous damper.

[Inserted Image]

Figure 3

The displacement and the velocity are again given by x[1](t) and v[1](t) .

The Force on the damper is now

> F1[damper](t) := d*v[1](t)

> R[damper] := F1[damper](t)/v[1](t)

R[damper] := d

Mass

The third standard device is a rigid body with mass m.

[Inserted Image]

Figure 4

Now we define the displacement and the velocity again with x1(t) and v1(t) . Additionally we use now the acceleration a1(t) .

The force which is needed to move the body is

> F1[mass](t) := m*a[1](t)

> R[mass] := F1[mass](t)/v[1](t)

R[mass] := I*m*Omega

Elastic Half-Space

At last we give the Impedance for an elastic half-space as an example as shown in Figure 5.

[Inserted Image]

Figure 5

Such an elastic half-space is used to describe the soil under a foundation. It is not so easy to deduce the impedance of this half-space. It is given for example in [1] by

> R[ELASTIC_HALF_SPACE] := (19*(1-mu)*Omega^2/(100*G*sqrt(G/rho))+I*(1-mu)*Omega/(Pi*G*a))^(-1)

In this relation G is the shear modulus, mu is the Poisson's ratio and rho is the specific mass of the soil. Omega is the angular frequency of the harmonic vibration. a is the radius of the area where the force is acting.

Quadripole Parameters

In practice two different ways to describe a quadripole as shown in Figure 1 are common. The first form is the chain form, the second is the impedance form.

Chain Form

In this form we describe the values of the input gate dependent on the values of the output gate:

F[1] = f[1](F[2], v[2])

v[1] = f[2](F[2], v[2])

Due to the condition that all forces are linearly dependantent on the displacement, velocity or the acceleration and the condition that we only consider harmonic vibrations, it follows

F[1] = A[1, 1]*F[2]+A[1, 2]*v[2]

v[1] = A[2, 1]*F[2]+A[2, 2]*v[2]

The values A[1, 1] , A[1, 2] , A[2, 1] and A[2, 2] are called the quadripole parameter of the chain form.

In matrix form we can write

matrix([[F[1]], [v[1]]]) = matrix([[A[1, 1], A[1, 2]], [A[2, 1], A[2, 2]]])*matrix([[F[2]], [v[2]]])

Impedance Form

In this form we describe all forces dependent on the velocities:

F[1] = g[1](v[1], v[2])

F[2] = g[2](v[1], v[2])

Same as in the chain form, this yields

F[1] = Z[1, 1]*v[1]+Z[1, 2]*v[2]

F[2] = Z[2, 1]*v[1]+Z[2, 2]*v[2]

The values Z[1, 1] , Z[1, 2] , Z[2, 1] and Z[2, 2] are called the quadripole parameter of the impedance form.

In matrix form we can write

matrix([[F[1]], [F[2]]]) = matrix([[Z[1, 1], Z[1, 2]], [Z[2, 1], Z[2, 2]]])*matrix([[v[1]], [v[2]]])

In this worksheet we use the impedance form only as an aid. So when we say "quadripole parameter" we mean the quadripole parameter of the chain form.

Conversion

Of course both forms can be converted to the other. It is practical to make this by use of procedures.

Calculate the quadripole parameter of the impedance form from the quadripole parameter of the chain form (chain form -> impedance form)

> chain2impedance:=proc(A)

> local Z,F1,v1,F2,v2,eq1,eq2;

> Z:=matrix(2,2);

> eq1:=F1=evalm(A&*vector(2,[F2,v2]))[1];

> eq2:=v1=evalm(A&*vector(2,[F2,v2]))[2];

> assign(solve({eq1,eq2},{F1,F2}));

> Z[1,1]:=coeff(F1,v1);

> Z[1,2]:=coeff(F1,v2);

> Z[2,1]:=coeff(F2,v1);

> Z[2,2]:=coeff(F2,v2);

> evalm(Z);

> end:

Calculate the quadripole parameter of the chain form from the quadripole parameter of the impedance form (impedance form -> chain form)

> impedance2chain:=proc(Z)

> local A,F1,v1,F2,v2,eq1,eq2;

> A:=matrix(2,2);

> eq1:=F1=evalm(Z&*vector(2,[v1,v2]))[1];

> eq2:=F2=evalm(Z&*vector(2,[v1,v2]))[2];

> assign(solve({eq1,eq2},{F1,v1}));

> A[1,1]:=coeff(F1,F2);

> A[1,2]:=coeff(F1,v2);

> A[2,1]:=coeff(v1,F2);

> A[2,2]:=coeff(v1,v2);

> evalm(A);

> end:

Quadripole Parameter of Standard Devices

Now we will give the quadripole parameter for some typical devices.

Spring

First we consider the spring shown in Figure 6

[Inserted Image]

Figure 6

To get the quadripole parameter we first consider the forces F[1] and F[2] . To fulfill the condition for the equilibrium, the forces must be equal.

F[1] = F[2]

Next we know that the spring will be stretched by

Delta*x = x[1]-x[2]

With the displacement on the input gate we get

x[1] = -I*v[1]/Omega

and on the output gate

x[2] = -I*v[2]/Omega

For the relation between the stretching of the spring and the force we assume linearly dependence

(x[1]-x[2])*k = F[2]

This yields for the relation between the force and the velocities at the input gate and the output gate

F[2]/k = -I*v[1]/Omega+I*v[2]/Omega

or after rearrangement

v1 = I*Omega*F[2]/k+v[2]

Now we have the four quadripole parameter for the matrix A[spring]

> A11[spring] := 1

> A12[spring] := 0

> A21[spring] := I*Omega/k

> A22[spring] := 1

In matrix form we get

> A[spring] := matrix(2, 2, [A11[spring], A12[spring], A21[spring], A22[spring]])

A[spring] := matrix([[1, 0], [I*Omega/k, 1]])

Damper

Next consider the damper in Figure 7.

[Inserted Image]

Figure 7

The situation is equivalent to that for the spring. To fulfill the equilibrium condition, F[1] and F[2] must be equal.

F[1] = F[2]

The damper is stretched by

Delta*x = x[1]-x[2]

and the difference of the velocities on both sides is

Delta*v = v[1]-v[2]

For the relation between the relative velocity and the damping force we assume linearity

(v[1]-v[2])*d = F[2]

After rearrangement we get

v1 = F[2]/d+v[2]

Now we have the four quadripole parameter for the matrix A[damper]

> A11[damper] := 1

> A12[damper] := 0

> A21[damper] := 1/d

> A22[damper] := 1

In matrix form we get

> A[damper] := matrix(2, 2, [A11[damper], A12[damper], A21[damper], A22[damper]])

A[damper] := matrix([[1, 0], [1/d, 1]])

Mass

As the last standard device, we consider the rigid body in Figure 8.

[Inserted Image]

Figure 8

for a rigid body, the displacement and the velocity at the input gate and at the output gate are the same.

v[1] = v[2]

In the equilibrium condition, we have to consider the inertia

F[1] = F[2]+m*a[2]

We replace the acceleration by the velocity and get

F[1] = F[2]+m*I*Omega*v[2]

Now we have the four quadripole parameters for the matrix A[mass]

> A11[mass] := 1

> A12[mass] := m*a[1](t)/v[1](t)

> A21[mass] := 0

> A22[mass] := 1

In matrix form we get

> A[mass] := matrix(2, 2, [A11[mass], A12[mass], A21[mass], A22[mass]])

A[mass] := matrix([[1, I*m*Omega], [0, 1]])

Quadripole Parameter of a Vibration Source

In some structures the vibration source is a very complex system that cannot easily be described analytically. But sometimes the impedance R[s] of the vibration source is known, for example from the constructer of the machine.

[Inserted Image]

Figure 9

For such a structure, we assume that the force F[1] which will be transmitted to the connected device at the output gate 1 can be measured. Additionally we assume that the structure is rigid. So we know that

v[0] = v[1] .

The force that generates the vibration is then

> F[0] := F[1]-R[s]*v[1]

In matrix form this yields

matrix([[F[0]], [v[0]]]) = matrix([[A[s][1, 1], A[s][1, 2]], [A[s][2, 1], A[s][2, 2]]])*matrix([[F[1]], [v[1]]])

The matrix of the quadripole parameter is then

> A[s] := matrix(2, 2, [1, R[s], 0, 1])

A[s] := matrix([[1, R[s]], [0, 1]])

Combination of Standard Devices

A lot of different devices can be described by combinations of the standard devices spring, damper and mass. There are two principal ways to combine two devices.

Serial Connection

First the devices can be combined as a chain one behind the other as shown in Figure 10.

[Inserted Image]

Figure 10

This is called a serial connection.We have two devices.

The device 1 has the input gate matrix([[F[1]], [v[1]]]) and the output gate matrix([[F[2]], [v[2]]]) .

At the same time matrix([[F[2]], [v[2]]]) is the input gate of the device 2 and matrix([[F[3]], [v[3]]]) is the output gate of device 2.

So we get the relations

matrix([[F[1]], [v[1]]]) = matrix([[A[1][1, 1], A[1][1, 2]], [A[1][2, 1], A[1][2, 2]]])*matrix([[F[2]], [v[2]]])

matrix([[F[2]], [v[2]]]) = matrix([[A[2][1, 1], A[2][1, 2]], [A[2][2, 1], A[2][2, 2]]])*matrix([[F[3]], [v[3]]])

with the quadripole parameter A[1][i, j] of device 1 and A[2][i, j] of device 2. Joining both equations yields

matrix([[F[1]], [v[1]]]) = matrix([[A[1][1, 1], A[1][1, 2]], [A[1][2, 1], A[1][2, 2]]])*matrix([[A[2][1, 1], A[2][1, 2]], [A[2][2, 1], A[2][2, 2]]])*matrix([[F[3]], [v[3]]])

The matrix of the quadripole parameter of the serial connection of two devices is the product of the matrices of the quadripole parameter of both single devices.

A = A[1]*A[2] .

This function is defined in the following procedure for several serial connected devices.

> serialconnection:=proc()

> local AB,i;

> AB:=matrix(2,2,[1,0,0,1]);

> for i from 1 by 1 to nargs do

> AB:=multiply(AB,args[i]);

> od:

> end:

Parallel Connection

Now we consider the situation of two devices combined in parallel as shown in Figure 11.

[Inserted Image]

Figure 11

This is called a parallel connection. Again we have two devices. But now the situation is a bit more complicated.

Device 1 has the input gate matrix([[F[a1]], [v[a1]]]) and the output gate matrix([[F[a2]], [v[a2]]]) .

Device 2 has the input gate matrix([[F[b1]], [v[b1]]]) and the output gate matrix([[F[b2]], [v[b2]]]) .

At last ,the input gate of the total device should be matrix([[F[1]], [v[1]]]) and the output gate matrix([[F[2]], [v[2]]]) .

The velocities at the input gate must all be equal. That means v[a1] = v[1] and v[b1] = v[1] . The same is valid for the output gate:  v[a2] = v[2] and v[b2] = v[2]

The force on both gates of the parallel connection is the sum of the forces at all single devices. That means F[1] = F[a1]+F[b1] and F[2] = F[a2]+F[b2] .

Now we use the impedance form of our quadripoles. We can use the above defined procedure chain2impedance to convert the quadripole parameter of the chain form A[a] and A[b] into the quadripole parameter of the impedance form Z[a] and Z[b] .

Z[a] = chain2impedance(A[a])

Z[b] = chain2impedance(A[b])

With this we can write

matrix([[F[a1]], [F[a2]]]) = matrix([[Z[a][1, 1], Z[a][1, 2]], [Z[a][2, 1], Z[a][2, 2]]])*matrix([[v[1]], [v[2]]])

matrix([[F[b1]], [F[b2]]]) = matrix([[Z[b][1, 1], Z[b][1, 2]], [Z[b][2, 1], Z[b][2, 2]]])*matrix([[v[1]], [v[2]]])

Remember that all velocities at the input gate are the same, and the same holds at the output gate. Combination of theses equations yields

matrix([[F[a1]], [F[a2]]])+matrix([[F[b1]], [F[b2]]]) = matrix([[Z[a][1, 1], Z[a][1, 2]], [Z[a][2, 1], Z[a][2, 2]]])*matrix([[v[1]], [v[2]]])+matrix([[Z[b][1, 1], Z[b][1, 2]], [Z[b][2, 1], Z[b][2, 2]]...

or

matrix([[F[1]], [F[2]]]) = matrix([[Z[1, 1], Z[1, 2]], [Z[2, 1], Z[2, 2]]])*matrix([[v[1]], [v[2]]])

with the matrix of the quadripole parameter of the impedance form of the total device as the sum of the matrices of the quadripole parameter of the impedance form of all the single devices

matrix([[Z[1, 1], Z[1, 2]], [Z[2, 1], Z[2, 2]]]) = matrix([[Z[a][1, 1], Z[a][1, 2]], [Z[a][2, 1], Z[a][2, 2]]])+matrix([[Z[b][1, 1], Z[b][1, 2]], [Z[b][2, 1], Z[b][2, 2]]]) .

Finally we get the quadripole parameter of the chain form of the total device by convert ing the quadripole parameter of the impedance form by use of the procedure impedance2chain.

A = chain2impedance(Z)

This process is also defined in the following procedure for several parallel connected devices.

> parallelconnection:=proc()

> local ZA,AB,i;

> ZA:=matrix(2,2,[0,0,0,0]):

> for i from 1 by 1 to nargs do

> ZA:=matadd(ZA,chain2impedance(args[i]),1,1);

> od:

> AB:=impedance2chain(ZA);

> end:

Some typical combinations of standard devices

There are several combination of the above defined standard devices often used in practice. Some of them are shown here.

KELVIN-VOIGT Model

This model is used to describe visco-elastic devices as parallel connection of an ideal elastic spring with an ideal viscous damper as shown in Figure 12

[Inserted Image]

Figure 12

The quadripole parameters of this model are calculated by use of the procedure parallelconnection.

The input parameters for this procedure are the matrices of the quadripole parameter of the damper

> evalm(A[damper]);

matrix([[1, 0], [1/d, 1]])

and the spring

> evalm(A[spring]);

matrix([[1, 0], [I*Omega/k, 1]])

The matrix of the quadripole parameter of the KELVIN-VOIGT model is consequently

> A[KELVINVOIGT]:=parallelconnection(A[damper],A[spring]);

A[KELVINVOIGT] := matrix([[1, 0], [-Omega/(-d*Omega+I*k), 1]])

Additionally we will consider the impedance of such a device. This can be derived different ways. First we can consider the quadripole parameter for the case that the velocity at the output gate is v[2] =0.

We will not do this here but we consider the relation between the force and the velocity. The force which passes through the KELVIN-VOIGT model is given by

> F[KELVINVOIGT](t) := F1[spring](t)+F1[damper](t)

F[KELVINVOIGT](t) := -I*k*v[1](t)/Omega+d*v[1](t)

And the impedance is the quotient of the force and the velocity

> R[KELVINVOIGT] := expand(F[KELVINVOIGT](t)/v[1](t))

R[KELVINVOIGT] := d-I*k/Omega

We see this is the sum of the impedances of the two single devices.

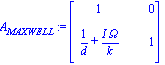
MAXWELL Model

This is another model which is used to describe viscous elastic devices. Here an ideal elastic spring and an ideal viscous damper are connected as a chain in series as shown in Figure 13

[Inserted Image]

Figure 13

Such a device is only able to transmit dynamic forces.

The quadripole parameter of this model are calculated by use of the procedure serialconnection.

The input parameters for this procedure are again the matrices of the quadripole parameter of the damper

> evalm(A[damper]);

matrix([[1, 0], [1/d, 1]])

and the spring

> evalm(A[spring]);

matrix([[1, 0], [I*Omega/k, 1]])

The matrix of the quadripole parameter of the MAXWELL model is consequently

> A[MAXWELL]:=serialconnection(A[damper],A[spring]);

A[MAXWELL] := matrix([[1, 0], [1/d+I*Omega/k, 1]])

Again we will also consider the impedance of such a device. We assume for this that the velocity on the output gate of this device is v[2] = 0 . The force must go directly through the device. That means that the force on the spring and the force on the damper are eqaul: F[damper] = F[1] and F[spring] = F[1] . The velocity of the damper is then given by

> v[1][MAXWELL_damper](t) := F[1](t)/d

The displacement of the spring is

> x[1][MAXWELL_spring](t) := F[1](t)/k

Because we assume harmonic motion, we get for the velocity in the spring

> v[1][MAXWELL_spring](t) := x[1][MAXWELL_spring](t)*I*Omega

v[1][MAXWELL_spring](t) := I*F[1](t)*Omega/k

The velocity at the input gate of the total device is the sum of the single velocities

> v[1][MAXWELL](t) := v[1][MAXWELL_spring](t)+v[1][MAXWELL_damper](t)

v[1][MAXWELL](t) := I*F[1](t)*Omega/k+F[1](t)/d

And the impedance is the quotient of the force and the velocity

> R[MAXWELL] := simplify(F[1](t)/v[1][MAXWELL](t))

R[MAXWELL] := k*d/(I*Omega*d+k)

Spring-Damper-Mass-System

Next we consider how a simple spring-damper-mass-system is typically used to describe the simplest structural dynamic system as a single-degree-of-freedom system. This system is shown in Figure 14

[Inserted Image]

Figure 14

This model is the parallel connection of a spring and a damper and these two devices together in series with the mass. The above formalism yields the following for the total device

> A[spring_damper_mass]:=simplify(serialconnection(A[mass],parallelconnection(A[spring],A[damper])));

A[spring_damper_mass] := matrix([[(-d*Omega+I*k-I*m*Omega^2)/(-d*Omega+I*k), I*m*Omega], [-Omega/(-d*Omega+I*k), 1]])

The impedance of this device can be deduced when we assume that the velocity at gate 2 must be 0

> v[2][spring_damper_mass] := 0

From the definition of the quadripole parameter we know the relation

matrix([[F[1]], [v[1]]]) = matrix([[A[1, 1], A[1, 2]], [A[2, 1], A[2, 2]]])*matrix([[F[2]], [v[2]]])

or written for this special case as two equations

> rel1 := F[1][spring_damper_mass] = A[spring_damper_mass][1, 1]*F[2][spring_damper_mass]+A[spring_damper_mass][1, 2]*v[2][spring_damper_mass]

rel1 := F[1][spring_damper_mass] = (-d*Omega+I*k-I*m*Omega^2)*F[2][spring_damper_mass]/(-d*Omega+I*k)

> rel2 := v[1][spring_damper_mass] = A[spring_damper_mass][2, 1]*F[2][spring_damper_mass]+A[spring_damper_mass][2, 2]*v[2][spring_damper_mass]

rel2 := v[1][spring_damper_mass] = -Omega*F[2][spring_damper_mass]/(-d*Omega+I*k)

The solution of this two equations yields the force at the output gate F[2][spring_damper_mass] and the velocity at the input gate v[1][spring_damper_mass] , both dependent on the force at the input gate F[1][spring_damper_mass] .

> sols:=solve({rel1,rel2},{F[2][spring_damper_mass],v[1][spring_damper_mass]});

sols := {v[1][spring_damper_mass] = -F[1][spring_damper_mass]*Omega/(-d*Omega+I*k-I*m*Omega^2), F[2][spring_damper_mass] = (-d*Omega+I*k)*F[1][spring_damper_mass]/(-d*Omega+I*k-I*m*Omega^2)}

> assign(sols);

At last we calculate the relation between the force and the velocity at the input gate to get the impedance

> R[spring_damper_mass] := simplify(F[1][spring_damper_mass]/v[1][spring_damper_mass]);

R[spring_damper_mass] := -(-d*Omega+I*k-I*m*Omega^2)/Omega

4-Parametrical MAXWELL Model

At last we consider a model which is composed by four single standard devices as shown in Figure 15

[Inserted Image]

Figure 15

This model is the parallel connection of two MAXWELL models, which are themselves serial connections of a spring and a damper. The damper on the left line has damping resistance d[a] , the spring on the left line has stiffness k[a] . The damper and the spring on the right line have the damping resistance d[b] and the stiffness k[b] . We use the information about the MAXWELL model for the two partial devices on the left and on the right line to get the matrices of the quadripole parameter

> A[a]:=subs({k=k[a],d=d[a]},evalm(A[MAXWELL]));

A[a] := matrix([[1, 0], [1/d[a]+I*Omega/k[a], 1]])

> A[b]:=subs({k=k[b],d=d[b]},evalm(A[MAXWELL]));

A[b] := matrix([[1, 0], [1/d[b]+I*Omega/k[b], 1]])

The matrix of the quadripole parameter for the total device is now easy to calculate as a parallel connection of A[a] and A[b]

> A[MAXWELL2]:=simplify(parallelconnection(A[a],A[b]));

A[MAXWELL2] := matrix([[1, 0], [(k[a]*k[b]+I*k[a]*Omega*d[b]+I*Omega*d[a]*k[b]-Omega^2*d[a]*d[b])/(d[a]*k[a]*k[b]+I*d[a]*k[a]*Omega*d[b]+d[b]*k[b]*k[a]+I*d[b]*k[b]*Omega*d[a]), 1]])

The impedance of this device is the sum of the impedance of the MAXWELL device on the left line and that on the right line, same as in the parallel connection of a damper with a spring

> R[a]:=simplify(subs({k=k[a],d=d[a]},R[MAXWELL]));

R[a] := d[a]*k[a]/(k[a]+I*Omega*d[a])

> R[b]:=simplify(subs({k=k[b],d=d[b]},R[MAXWELL]));

R[b] := d[b]*k[b]/(k[b]+I*Omega*d[b])

> R[MAXWELL2] := simplify(R[a]+R[b])

R[MAXWELL2] := (d[a]*k[a]*k[b]+I*d[a]*k[a]*Omega*d[b]+d[b]*k[b]*k[a]+I*d[b]*k[b]*Omega*d[a])/((k[a]+I*Omega*d[a])*(k[b]+I*Omega*d[b]))

Example

Now we will consider an example. As shown in Figure 16 we have a a special machine as the source of the vibration. All values here and in the following are given in N, m, kg and s. Consequently the impedances are given in Ns/m. Please note: These numerical values are academic examples only.

[Inserted Image]

Figure 16

We have the input gate given by

> input:=matrix([[F[0]],[v[0]]]);

input := matrix([[F[0]], [v[0]]])

and the output gate given by

> output:=matrix([[F[2]],[v[2]]]);

output := matrix([[F[2]], [v[2]]])

The impedance of the source shall be given by its real part

> real_R[s] := 250000*Pi^2*f^2/(6250000-4975*Pi^2*f^2+Pi^4*f^4)

and its imaginary part

> imag_R[s] := -50000*Pi*f*(-2500+Pi^2*f^2)/(6250000-4975*Pi^2*f^2+Pi^4*f^4)

So the impedance R[s] is

> R[s] := real_R[s]+I*imag_R[s]

R[s] := 250000*Pi^2*f^2/(6250000-4975*Pi^2*f^2+Pi^4*f^4)-50000*I*Pi*f*(-2500+Pi^2*f^2)/(6250000-4975*Pi^2*f^2+Pi^4*f^4)

Let's consider graphs of these functions.

> PRsr:=plot(Re(R[s]),f=0..100,color=red,legend="real part"):

> PRsi:=plot(Im(R[s]),f=0..100,color=green,legend="imaginary part"):

> PRsa:=plot(abs(R[s]),f=0..100,color=blue,thickness=2,legend="absolute value"):

> PRsp:=plot(argument(R[s]),f=0..100,color=cyan,legend="argument"):

Most of the time, the absolute value is the most interesting, so we draw it with a thick line.

> display(PRsr,PRsi,PRsa,title="Impedance of the Vibration Source");

[Plot]

The argument of this function is shown in the next picture

> display(PRsp,title="Impedance of the Vibration Source");

[Plot]

The matrix of the quadripole parameter of the vibration source follows from above

> A[s]:=matrix(2,2,[1,R[s],0,1]);

A[s] := matrix([[1, 250000*Pi^2*f^2/(6250000-4975*Pi^2*f^2+Pi^4*f^4)-50000*I*Pi*f*(-2500+Pi^2*f^2)/(6250000-4975*Pi^2*f^2+Pi^4*f^4)], [0, 1]])

Next we consider the foundation, the recipient. We assume the following numerical values and use the definition for the elastic half-space defined above.

> soil := G = 200000000, mu = 2/10, rho = 2000, a = 2

The impedance of the recipient is then

> R[r]:=complexextension(subs({soil,sub1},R[ELASTIC_HALF_SPACE]));

R[r] := 11875000000000*Pi^2*10^(1/2)/(361*Pi^4*f^2+62500000)-15625000000000000*I/(f*(361*Pi^4*f^2+62500000))

This result is best shown graphically. The first picture shows the real part, the imaginary part and the absolute value.

> vw:=-2E7..2E7:

> PEr:=plot(Re(R[r]),f=0..100,vw,color=red,legend="real part"):

> PEi:=plot(Im(R[r]),f=0..100,vw,color=green,legend="imaginary part"):

> PEa:=plot(abs(R[r]),f=0..100,vw,color=blue,thickness=2,legend="absolute value"):

> PEp:=plot(argument(R[r]),f=0..100,-Pi..Pi,color=cyan,legend="argument"):

> display(PEr,PEi,PEa,title="Impedance of the Ground");

[Plot]

The next picture shows the angle between the real part and the imaginary part of the impedance.

> display(PEp,title="Impedance of the Ground");

[Plot]

Now we consider some devices which are arranged between the machine and the soil for vibration control. Here we assume that the excitation force F[0] for all the following examples is identical. That means that there is no feedback interaction from the structure to the source of the excitation. Otherwise this problem would be much more complicated and not so easily solved without more details about the excitation.

Rigid Connection

Rigid connection means that the machine stands on the ground without any device. So we have the relation

matrix([[F[1]], [v[1]]]) = matrix([[1, 0], [0, 1]])*matrix([[F[2]], [v[2]]])

That means for the matrix of the quadripole parameter

> A[rigid]:=matrix([[1,0],[0,1]]);

A[rigid] := matrix([[1, 0], [0, 1]])

The total structure is  a serial connection of the source with a rigid connection.

> A[1]:=serialconnection(A[s],A[rigid]);

A[1] := matrix([[1, 250000*Pi^2*f^2/(6250000-4975*Pi^2*f^2+Pi^4*f^4)-50000*I*Pi*f*(-2500+Pi^2*f^2)/(6250000-4975*Pi^2*f^2+Pi^4*f^4)], [0, 1]])

Of course this is the same as the matrix of the quadripole parameter of the source itself. The relation between the values of the input gate F[0] , v[0] and the values at the output gate F[2] , v[2] is

> eq[1]:=input=A[1]&*output;

eq[1] := input = `&*`(A[1], output)

> evalm(eq[1]);

matrix([[F[0]], [v[0]]]) = matrix([[F[2]+(250000*Pi^2*f^2/(6250000-4975*Pi^2*f^2+Pi^4*f^4)-50000*I*Pi*f*(-2500+Pi^2*f^2)/(6250000-4975*Pi^2*f^2+Pi^4*f^4))*v[2]], [v[2]]])

This yields for the values of the output gate

> sol[1]:=linsolve(A[1],input);

sol[1] := matrix([[(F[0]*Pi^4*f^4+6250000*F[0]-4975*F[0]*Pi^2*f^2-250000*v[0]*Pi^2*f^2-125000000*I*v[0]*Pi*f+50000*I*v[0]*Pi^3*f^3)/(6250000-4975*Pi^2*f^2+Pi^4*f^4)], [v[0]]])

This means

> F_rigid[2]:=sol[1][1,1];

F_rigid[2] := (F[0]*Pi^4*f^4+6250000*F[0]-4975*F[0]*Pi^2*f^2-250000*v[0]*Pi^2*f^2-125000000*I*v[0]*Pi*f+50000*I*v[0]*Pi^3*f^3)/(6250000-4975*Pi^2*f^2+Pi^4*f^4)

> v_rigid[2]:=sol[1][2,1];

v_rigid[2] := v[0]

At last we use our information about the impedance of the output gate

> eq[2] := F_rigid[2] = R[r]*v_rigid[2]

eq[2] := (F[0]*Pi^4*f^4+6250000*F[0]-4975*F[0]*Pi^2*f^2-250000*v[0]*Pi^2*f^2-125000000*I*v[0]*Pi*f+50000*I*v[0]*Pi^3*f^3)/(6250000-4975*Pi^2*f^2+Pi^4*f^4) = (11875000000000*Pi^2*10^(1/2)/(361*Pi^4*f^2...

The solution of this equation yields the velocity at the input gate dependent on the force at the input gate

> sol[2]:=simplify(solve(eq[2],v[0]));

sol[2] := -1/50000*f*F[0]*(361*Pi^8*f^6+62500000*Pi^4*f^4+2256250000*Pi^4*f^2+390625000000000-1795975*Pi^6*f^4-310937500000*Pi^2*f^2)/(-1805*Pi^6*f^5-312500000*Pi^2*f^3-902500*I*Pi^5*f^4-156250000000*...sol[2] := -1/50000*f*F[0]*(361*Pi^8*f^6+62500000*Pi^4*f^4+2256250000*Pi^4*f^2+390625000000000-1795975*Pi^6*f^4-310937500000*Pi^2*f^2)/(-1805*Pi^6*f^5-312500000*Pi^2*f^3-902500*I*Pi^5*f^4-156250000000*...sol[2] := -1/50000*f*F[0]*(361*Pi^8*f^6+62500000*Pi^4*f^4+2256250000*Pi^4*f^2+390625000000000-1795975*Pi^6*f^4-310937500000*Pi^2*f^2)/(-1805*Pi^6*f^5-312500000*Pi^2*f^3-902500*I*Pi^5*f^4-156250000000*...

For the velocity on the output gate we get

> v_r[2]:=simplify(subs(v[0]=sol[2],v_rigid[2]));

v_r[2] := -1/50000*f*F[0]*(361*Pi^8*f^6+62500000*Pi^4*f^4+2256250000*Pi^4*f^2+390625000000000-1795975*Pi^6*f^4-310937500000*Pi^2*f^2)/(-1805*Pi^6*f^5-312500000*Pi^2*f^3-902500*I*Pi^5*f^4-156250000000*...v_r[2] := -1/50000*f*F[0]*(361*Pi^8*f^6+62500000*Pi^4*f^4+2256250000*Pi^4*f^2+390625000000000-1795975*Pi^6*f^4-310937500000*Pi^2*f^2)/(-1805*Pi^6*f^5-312500000*Pi^2*f^3-902500*I*Pi^5*f^4-156250000000*...v_r[2] := -1/50000*f*F[0]*(361*Pi^8*f^6+62500000*Pi^4*f^4+2256250000*Pi^4*f^2+390625000000000-1795975*Pi^6*f^4-310937500000*Pi^2*f^2)/(-1805*Pi^6*f^5-312500000*Pi^2*f^3-902500*I*Pi^5*f^4-156250000000*...

We use this derivation later again, so it makes sense to define this in form of a procedure

> trans:=proc(A,input,R)

> local sol1,sol2,v1,F1,F2,v2,vs2,eq;

> F1:=input[1,1]:

> v1:=input[2,1]:

> sol1:=linsolve(A,input);

> F2:=sol1[1,1];

> v2:=sol1[2,1];

> eq:=F2=R*v2;

> sol2:=simplify(solve(eq,v1));

> vs2:=simplify(subs(v1=sol2,v2));

> end:

We show the result for the ground velocity graphically

> PErr:=plot(Re(v_r[2]/F[0]),f=0..100,color=red,legend="real part"):

> PEri:=plot(Im(v_r[2]/F[0]),f=0..100,color=green,legend="imaginary part"):

> PEra:=plot(abs(v_r[2]/F[0]),f=0..100,color=blue,thickness=2,legend="absolute value"):

> display(PErr,PEri,PEra,title="Ground Velocity in m/s");

[Plot]

Vibration Isolation by a Spring

Next we consider the situation that a spring is set between the machine and the ground . Then we have the matrix of the quadripole parameter of the spring with the stiffness

> k[2] := 10000

> A[ex]:=subs({sub1,k=k[2]},evalm(A[spring]));

A[ex] := matrix([[1, 0], [1/5000*I*Pi*f, 1]])

and the matrix of the quadripole parameter of the serial connection of the vibration source and the spring

> A[2]:=serialconnection(A[s],A[ex]);

A[2] := matrix([[1+1/5000*I*(250000*Pi^2*f^2/(6250000-4975*Pi^2*f^2+Pi^4*f^4)-50000*I*Pi*f*(-2500+Pi^2*f^2)/(6250000-4975*Pi^2*f^2+Pi^4*f^4))*Pi*f, 250000*Pi^2*f^2/(6250000-4975*Pi^2*f^2+Pi^4*f^4)-500...

We get the velocity at the output gate by use of the above defined procedure

> v_s[2]:=trans(A[2],input,R[r]);

v_s[2] := 1/50000*(361*Pi^8*f^6+62500000*Pi^4*f^4+2256250000*Pi^4*f^2+390625000000000-1795975*Pi^6*f^4-310937500000*Pi^2*f^2)*f*F[0]/(-1953125000000000000*I+15625000000000*Pi^3*f^3+902500*I*Pi^5*f^4+1...v_s[2] := 1/50000*(361*Pi^8*f^6+62500000*Pi^4*f^4+2256250000*Pi^4*f^2+390625000000000-1795975*Pi^6*f^4-310937500000*Pi^2*f^2)*f*F[0]/(-1953125000000000000*I+15625000000000*Pi^3*f^3+902500*I*Pi^5*f^4+1...v_s[2] := 1/50000*(361*Pi^8*f^6+62500000*Pi^4*f^4+2256250000*Pi^4*f^2+390625000000000-1795975*Pi^6*f^4-310937500000*Pi^2*f^2)*f*F[0]/(-1953125000000000000*I+15625000000000*Pi^3*f^3+902500*I*Pi^5*f^4+1...

The most important point is now the comparison between the velocity in the case of the rigid position of the machine on the ground with the velocity with the spring between machine and ground.

In blue, the velocity of the case of the rigid connection is displayed.

> PEsa:=plot(abs(v_s[2]/F[0]),f=0..100,color=cyan,thickness=2,legend="absolute value spring"):

> display(PEsa,PEra,title="Ground Velocity in m/s");

[Plot]

Most interesting is normally the question, what is the relation between the absolute value of the velocity at the output gate in case of the rigid support and the isolated support by use of a spring. This is usually shown in a special logarithmic scale. For details please see the literature, for example [1]. We calculate the quotient between the velocity of the ground in case of rigid connection and that in case of supporting by use of any device, here the spring. Then we have to calculate the logarithm and multiply by 20. This result has no physical dimension. It is called the insertion loss for the inserted device. To emphasize this kind of presentation, we use the pseudo dimension dB (decibel). Although this property belongs to the inserted device, it depends on the impedance of the vibration source and the impedance of the recipient, here the ground. Strictly speaking, it is not possible to give the insertion loss of a pure device but only in combination with its use.

Here we calculate the insertion loss of the spring.

> dv_rs:=simplify(20*log[10](abs(v_r[2]/v_s[2])));

dv_rs := 20*ln(abs((361*Pi^5*f^4+3437500000000*Pi^2*f^2+62500000*Pi*f^2-1562500000000*I*Pi*f-781250000000000+2612500000*I*Pi^4*10^(1/2)*f^3+1187500000*10^(1/2)*Pi^3*f^2-593750000000*I*Pi^2*10^(1/2)*f)...dv_rs := 20*ln(abs((361*Pi^5*f^4+3437500000000*Pi^2*f^2+62500000*Pi*f^2-1562500000000*I*Pi*f-781250000000000+2612500000*I*Pi^4*10^(1/2)*f^3+1187500000*10^(1/2)*Pi^3*f^2-593750000000*I*Pi^2*10^(1/2)*f)...dv_rs := 20*ln(abs((361*Pi^5*f^4+3437500000000*Pi^2*f^2+62500000*Pi*f^2-1562500000000*I*Pi*f-781250000000000+2612500000*I*Pi^4*10^(1/2)*f^3+1187500000*10^(1/2)*Pi^3*f^2-593750000000*I*Pi^2*10^(1/2)*f)...

> PErsa:=plot(dv_rs,f=0..100,color=cyan,legend="spring",title="Insertion Loss in dB",thickness=2):

> display(PErsa);

[Plot]

Vibration Isolation by a Damper

Next we consider the situation that a damper is set between the machine and the ground . Of course this idea is more theoretically interesting, because the damper itself cannot carry the static load of a machine. In reality there must be some device that can do that.

We have the matrix of the quadripole parameter of the damper with the damping residence

> d[3] := 30

> A[fx]:=subs({sub1,d=d[3]},evalm(A[damper]));

A[fx] := matrix([[1, 0], [1/30, 1]])

and the matrix of the quadripole parameter of the serial connection of the vibration source and the damper

> A[3]:=serialconnection(A[s],A[fx]);

A[3] := matrix([[1+25000/3*Pi^2*f^2/(6250000-4975*Pi^2*f^2+Pi^4*f^4)-5000/3*I*Pi*f*(-2500+Pi^2*f^2)/(6250000-4975*Pi^2*f^2+Pi^4*f^4), 250000*Pi^2*f^2/(6250000-4975*Pi^2*f^2+Pi^4*f^4)-50000*I*Pi*f*(-25...

We get the velocity at the output gate by use of the above defined procedure

> v_d[2]:=trans(A[3],input,R[r]);

v_d[2] := -3/50000*(361*Pi^8*f^6+62500000*Pi^4*f^4+2256250000*Pi^4*f^2+390625000000000-1795975*Pi^6*f^4-310937500000*Pi^2*f^2)*f*F[0]/(-468750000000*I*Pi*f^2-2707500*I*Pi^5*f^4+187500000*I*Pi^3*f^4+10...v_d[2] := -3/50000*(361*Pi^8*f^6+62500000*Pi^4*f^4+2256250000*Pi^4*f^2+390625000000000-1795975*Pi^6*f^4-310937500000*Pi^2*f^2)*f*F[0]/(-468750000000*I*Pi*f^2-2707500*I*Pi^5*f^4+187500000*I*Pi^3*f^4+10...v_d[2] := -3/50000*(361*Pi^8*f^6+62500000*Pi^4*f^4+2256250000*Pi^4*f^2+390625000000000-1795975*Pi^6*f^4-310937500000*Pi^2*f^2)*f*F[0]/(-468750000000*I*Pi*f^2-2707500*I*Pi^5*f^4+187500000*I*Pi^3*f^4+10...v_d[2] := -3/50000*(361*Pi^8*f^6+62500000*Pi^4*f^4+2256250000*Pi^4*f^2+390625000000000-1795975*Pi^6*f^4-310937500000*Pi^2*f^2)*f*F[0]/(-468750000000*I*Pi*f^2-2707500*I*Pi^5*f^4+187500000*I*Pi^3*f^4+10...

The following diagram shows the ground velocities for all the previously considered situations

> PEda:=plot(abs(v_d[2]/F[0]),f=0..100,color=magenta,thickness=2,legend="absolute value damper"):

> display(PEda,PEsa,PEra,title="Ground Velocity in m/s");

[Plot]

Again we calculate the insertion loss of the damper

> dv_rd:=simplify(20*log[10](abs(v_r[2]/v_d[2])));

dv_rd := -20*(ln(3)-ln(abs((1083*Pi^5*f^4+937500000000*Pi^2*f^2+187500000*Pi*f^2-1567187500000000*I*Pi*f-2343750000000000+712500000*I*Pi^4*10^(1/2)*f^3+1191062500000*10^(1/2)*Pi^3*f^2-1781250000000*I*...dv_rd := -20*(ln(3)-ln(abs((1083*Pi^5*f^4+937500000000*Pi^2*f^2+187500000*Pi*f^2-1567187500000000*I*Pi*f-2343750000000000+712500000*I*Pi^4*10^(1/2)*f^3+1191062500000*10^(1/2)*Pi^3*f^2-1781250000000*I*...dv_rd := -20*(ln(3)-ln(abs((1083*Pi^5*f^4+937500000000*Pi^2*f^2+187500000*Pi*f^2-1567187500000000*I*Pi*f-2343750000000000+712500000*I*Pi^4*10^(1/2)*f^3+1191062500000*10^(1/2)*Pi^3*f^2-1781250000000*I*...dv_rd := -20*(ln(3)-ln(abs((1083*Pi^5*f^4+937500000000*Pi^2*f^2+187500000*Pi*f^2-1567187500000000*I*Pi*f-2343750000000000+712500000*I*Pi^4*10^(1/2)*f^3+1191062500000*10^(1/2)*Pi^3*f^2-1781250000000*I*...

> PErda:=plot(abs(dv_rd),f=0..100,color=magenta,legend="damper",title="Insertion Loss in dB",thickness=2):

> display(PErda,PErsa);

[Plot]

It seems that the damper, especially in the range of lower frequencies, gives the better reduction of the vibration. Only for higher frequencies, in this example from about 50 Hz, the spring support yields a higher insertion loss than the spring. Unfortunately the damper itself cannot carry the static load, so we need something as a spring. Let's consider what happens when we use a combination of a spring and a damper.

Vibration Isolation by a KELVIN-VOIGT Device

Next we consider the situation that a combination of a spring and a damper according the KELVIN-VOIGT model is set between the machine and the ground . Then we have the matrix of the quadripole parameter of the device with the spring stiffness k[2] and the damping residence d[3] .

> A[gx]:=subs({sub1,d=d[3],k=k[2]},evalm(A[KELVINVOIGT]));

A[gx] := matrix([[1, 0], [-2*Pi*f/(-60*Pi*f+10000*I), 1]])

and the matrix of the quadripole parameter of the serial connection of the vibration source and the KELVIN-VOIGT device is

> A[4]:=serialconnection(A[s],A[gx]);

A[4] := matrix([[1-2*(250000*Pi^2*f^2/(6250000-4975*Pi^2*f^2+Pi^4*f^4)-50000*I*Pi*f*(-2500+Pi^2*f^2)/(6250000-4975*Pi^2*f^2+Pi^4*f^4))*Pi*f/(-60*Pi*f+10000*I), 250000*Pi^2*f^2/(6250000-4975*Pi^2*f^2+P...

We get again the velocity at the output gate by use of the above defined procedure

> v_KV[2]:=trans(A[4],input,R[r]);

v_KV[2] := -1/50000*(24707031250000000000000*Pi^2*f^2+5018973975*Pi^10*f^8+487500000000000000000*I*Pi^3*f^3+19494000*I*Pi^11*f^9-110540625000000000*I*Pi^5*f^5+3375000000000*I*Pi^7*f^7+2815800000000000...v_KV[2] := -1/50000*(24707031250000000000000*Pi^2*f^2+5018973975*Pi^10*f^8+487500000000000000000*I*Pi^3*f^3+19494000*I*Pi^11*f^9-110540625000000000*I*Pi^5*f^5+3375000000000*I*Pi^7*f^7+2815800000000000...v_KV[2] := -1/50000*(24707031250000000000000*Pi^2*f^2+5018973975*Pi^10*f^8+487500000000000000000*I*Pi^3*f^3+19494000*I*Pi^11*f^9-110540625000000000*I*Pi^5*f^5+3375000000000*I*Pi^7*f^7+2815800000000000...v_KV[2] := -1/50000*(24707031250000000000000*Pi^2*f^2+5018973975*Pi^10*f^8+487500000000000000000*I*Pi^3*f^3+19494000*I*Pi^11*f^9-110540625000000000*I*Pi^5*f^5+3375000000000*I*Pi^7*f^7+2815800000000000...v_KV[2] := -1/50000*(24707031250000000000000*Pi^2*f^2+5018973975*Pi^10*f^8+487500000000000000000*I*Pi^3*f^3+19494000*I*Pi^11*f^9-110540625000000000*I*Pi^5*f^5+3375000000000*I*Pi^7*f^7+2815800000000000...v_KV[2] := -1/50000*(24707031250000000000000*Pi^2*f^2+5018973975*Pi^10*f^8+487500000000000000000*I*Pi^3*f^3+19494000*I*Pi^11*f^9-110540625000000000*I*Pi^5*f^5+3375000000000*I*Pi^7*f^7+2815800000000000...v_KV[2] := -1/50000*(24707031250000000000000*Pi^2*f^2+5018973975*Pi^10*f^8+487500000000000000000*I*Pi^3*f^3+19494000*I*Pi^11*f^9-110540625000000000*I*Pi^5*f^5+3375000000000*I*Pi^7*f^7+2815800000000000...v_KV[2] := -1/50000*(24707031250000000000000*Pi^2*f^2+5018973975*Pi^10*f^8+487500000000000000000*I*Pi^3*f^3+19494000*I*Pi^11*f^9-110540625000000000*I*Pi^5*f^5+3375000000000*I*Pi^7*f^7+2815800000000000...

The following diagram shows the ground velocities

> PEKVa:=plot(abs(v_KV[2]/F[0]),f=0..100,color=brown,thickness=2,legend="absolute value KELVIN-VOIGT"):

> display(PEKVa,PEda,PEsa,PEra,title="Ground Velocity in m/s");

[Plot]

Again we calculate the insertion loss of the device

> dv_rKV:=simplify(20*log[10](abs(v_r[2]/v_KV[2])));

dv_rKV := 20*ln(abs((1083*Pi^6*f^5-180500*I*Pi^5*f^4+937500000000*Pi^3*f^3+187500000*Pi^2*f^3-1723437500000000*I*Pi^2*f^2-31250000000*I*Pi*f^2-3125000000000000*Pi*f+390625000000000000*I+712500000*I*Pi...dv_rKV := 20*ln(abs((1083*Pi^6*f^5-180500*I*Pi^5*f^4+937500000000*Pi^3*f^3+187500000*Pi^2*f^3-1723437500000000*I*Pi^2*f^2-31250000000*I*Pi*f^2-3125000000000000*Pi*f+390625000000000000*I+712500000*I*Pi...dv_rKV := 20*ln(abs((1083*Pi^6*f^5-180500*I*Pi^5*f^4+937500000000*Pi^3*f^3+187500000*Pi^2*f^3-1723437500000000*I*Pi^2*f^2-31250000000*I*Pi*f^2-3125000000000000*Pi*f+390625000000000000*I+712500000*I*Pi...

> PErKVa:=plot(dv_rKV,f=0..100,color=brown,legend="KELVIN-VOIGT",title="Insertion Loss in dB",thickness=2):

> display(PErKVa,PErda,PErsa);

[Plot]

As expected this solution is somewhere between the support by a spring and the support by a damper. The advantage of the KELVIN-VOIGT device against the single spring is the fact that there is not so big an incursion in the insertion loss.

Vibration Isolation by a MAXWELL Device

Next we consider the situation that a combination of a spring and a damper according the MAXWELL model with the spring stiffness k[2] and the damping residence d[3] is set between the machine and the ground . As with the single damper, this device cannot carry static loads and is not capable for practical use of supporting a machine.

We have the matrix of the quadripole parameter of the device

> A[hx]:=subs({sub1,d=d[3],k=k[2]},evalm(A[MAXWELL]));

A[hx] := matrix([[1, 0], [1/30+1/5000*I*Pi*f, 1]])

and the matrix of the quadripole parameter of the serial connection of the vibration source and the spring

> A[5]:=serialconnection(A[s],A[hx]);

A[5] := matrix([[1+(250000*Pi^2*f^2/(6250000-4975*Pi^2*f^2+Pi^4*f^4)-50000*I*Pi*f*(-2500+Pi^2*f^2)/(6250000-4975*Pi^2*f^2+Pi^4*f^4))*(1/30+1/5000*I*Pi*f), 250000*Pi^2*f^2/(6250000-4975*Pi^2*f^2+Pi^4*f...

The velocity at the output gate is now

> v_MW[2]:=trans(A[5],input,R[r]);

v_MW[2] := -3/50000*(361*Pi^8*f^6+62500000*Pi^4*f^4+2256250000*Pi^4*f^2+390625000000000-1795975*Pi^6*f^4-310937500000*Pi^2*f^2)*f*F[0]/(-468750000000*I*Pi*f^2+5859375000000000000*I+187500000*I*Pi^3*f^...v_MW[2] := -3/50000*(361*Pi^8*f^6+62500000*Pi^4*f^4+2256250000*Pi^4*f^2+390625000000000-1795975*Pi^6*f^4-310937500000*Pi^2*f^2)*f*F[0]/(-468750000000*I*Pi*f^2+5859375000000000000*I+187500000*I*Pi^3*f^...v_MW[2] := -3/50000*(361*Pi^8*f^6+62500000*Pi^4*f^4+2256250000*Pi^4*f^2+390625000000000-1795975*Pi^6*f^4-310937500000*Pi^2*f^2)*f*F[0]/(-468750000000*I*Pi*f^2+5859375000000000000*I+187500000*I*Pi^3*f^...v_MW[2] := -3/50000*(361*Pi^8*f^6+62500000*Pi^4*f^4+2256250000*Pi^4*f^2+390625000000000-1795975*Pi^6*f^4-310937500000*Pi^2*f^2)*f*F[0]/(-468750000000*I*Pi*f^2+5859375000000000000*I+187500000*I*Pi^3*f^...

The following diagram shows the ground velocities

> PEMWa:=plot(abs(v_MW[2]/F[0]),f=0..100,color=green,thickness=2,legend="absolute value MAXWELL"):

> display(PEMWa,PEKVa,PEda,PEsa,PEra,title="Ground Velocity in m/s");

[Plot]

We calculate the insertion loss of the device

> dv_rMW:=simplify(20*log[10](abs(v_r[2]/v_MW[2])));

dv_rMW := -20*(ln(3)-ln(abs((1083*Pi^5*f^4+10312500000000*Pi^2*f^2+187500000*Pi*f^2-1567187500000000*I*Pi*f-2343750000000000+7837500000*I*Pi^4*10^(1/2)*f^3+1191062500000*10^(1/2)*Pi^3*f^2-178125000000...dv_rMW := -20*(ln(3)-ln(abs((1083*Pi^5*f^4+10312500000000*Pi^2*f^2+187500000*Pi*f^2-1567187500000000*I*Pi*f-2343750000000000+7837500000*I*Pi^4*10^(1/2)*f^3+1191062500000*10^(1/2)*Pi^3*f^2-178125000000...dv_rMW := -20*(ln(3)-ln(abs((1083*Pi^5*f^4+10312500000000*Pi^2*f^2+187500000*Pi*f^2-1567187500000000*I*Pi*f-2343750000000000+7837500000*I*Pi^4*10^(1/2)*f^3+1191062500000*10^(1/2)*Pi^3*f^2-178125000000...dv_rMW := -20*(ln(3)-ln(abs((1083*Pi^5*f^4+10312500000000*Pi^2*f^2+187500000*Pi*f^2-1567187500000000*I*Pi*f-2343750000000000+7837500000*I*Pi^4*10^(1/2)*f^3+1191062500000*10^(1/2)*Pi^3*f^2-178125000000...

> PErMWa:=plot(dv_rMW,f=0..100,color=green,legend="MAXWELL",title="Insertion Loss in dB",thickness=2):

> display(PErMWa,PErKVa,PErda,PErsa);

[Plot]

Up to now this model is the best one for elimating ground vibrations.  Unfortunately it cannot be used because it cannot carry static loads.

Vibration Isolation by Double Spring Device with one Damper

Next we consider the situation that a combination of a spring, an additional mass and a second spring in series and parallel to this damper is set between the machine and the ground . This device is shown in Figure 17.

[Inserted Image]

Figure 17

The spring stiffness  shall be

> k[a6] := 2*k[2]

k[a6] := 20000

> k[b6] := 2*k[2]

k[b6] := 20000

and the damping resistance is again d[3] .

The mass shall be

> m[6] := 1

The matrices of the single quadripole parameter are

first spring:

> Am:=subs(k=k[a6],evalm(A[spring]));

Am := matrix([[1, 0], [1/20000*I*Omega, 1]])

mass

> An:=subs(m=m[6],evalm(A[mass]));

An := matrix([[1, I*Omega], [0, 1]])

second spring

> Ao:=subs(k=k[b6],evalm(A[spring]));

Ao := matrix([[1, 0], [1/20000*I*Omega, 1]])

damper

> Ap:=subs(d=d[3],evalm(A[damper]));

Ap := matrix([[1, 0], [1/30, 1]])

The matrix of the quadripole parameter of the serial connection of the spring, the mass and the second spring is

> Amno:=serialconnection(Am,An,Ao);

Amno := matrix([[-1/20000*Omega^2+1, I*Omega], [1/20000*I*Omega+1/20000*I*(-1/20000*Omega^2+1)*Omega, -1/20000*Omega^2+1]])

And the parallel connection from this with the damper is

> Amnop:=parallelconnection(Amno,Ap);

Amnop := matrix([[(-2000*I*Omega^2+40000000*I-120000*Omega+3*Omega^3)/(40000000*I-120000*Omega+3*Omega^3), (-120000*I*Omega^2-40000000*Omega)/(40000000*I-120000*Omega+3*Omega^3)], [1/10*(-40000*Omega+...

This yields with the source in series

> A[6]:=subs(sub1,serialconnection(A[s],Amnop));

A[6] := matrix([[(-8000*I*Pi^2*f^2+40000000*I-240000*Pi*f+24*Pi^3*f^3)/(40000000*I-240000*Pi*f+24*Pi^3*f^3)+1/10*(250000*Pi^2*f^2/(6250000-4975*Pi^2*f^2+Pi^4*f^4)-50000*I*Pi*f*(-2500+Pi^2*f^2)/(625000...A[6] := matrix([[(-8000*I*Pi^2*f^2+40000000*I-240000*Pi*f+24*Pi^3*f^3)/(40000000*I-240000*Pi*f+24*Pi^3*f^3)+1/10*(250000*Pi^2*f^2/(6250000-4975*Pi^2*f^2+Pi^4*f^4)-50000*I*Pi*f*(-2500+Pi^2*f^2)/(625000...A[6] := matrix([[(-8000*I*Pi^2*f^2+40000000*I-240000*Pi*f+24*Pi^3*f^3)/(40000000*I-240000*Pi*f+24*Pi^3*f^3)+1/10*(250000*Pi^2*f^2/(6250000-4975*Pi^2*f^2+Pi^4*f^4)-50000*I*Pi*f*(-2500+Pi^2*f^2)/(625000...

The velocity at the output gate is

> v_m[2]:=trans(A[6],input,R[r]);

v_m[2] := -1/10000*(5062500000*Pi^16*f^16+23546315250000*Pi^16*f^14+29241*Pi^20*f^18-1315113975*Pi^18*f^16-227685937500000*Pi^14*f^14+244140625000000000000000000000000000000000+4076578125000000000*Pi^...v_m[2] := -1/10000*(5062500000*Pi^16*f^16+23546315250000*Pi^16*f^14+29241*Pi^20*f^18-1315113975*Pi^18*f^16-227685937500000*Pi^14*f^14+244140625000000000000000000000000000000000+4076578125000000000*Pi^...v_m[2] := -1/10000*(5062500000*Pi^16*f^16+23546315250000*Pi^16*f^14+29241*Pi^20*f^18-1315113975*Pi^18*f^16-227685937500000*Pi^14*f^14+244140625000000000000000000000000000000000+4076578125000000000*Pi^...v_m[2] := -1/10000*(5062500000*Pi^16*f^16+23546315250000*Pi^16*f^14+29241*Pi^20*f^18-1315113975*Pi^18*f^16-227685937500000*Pi^14*f^14+244140625000000000000000000000000000000000+4076578125000000000*Pi^...v_m[2] := -1/10000*(5062500000*Pi^16*f^16+23546315250000*Pi^16*f^14+29241*Pi^20*f^18-1315113975*Pi^18*f^16-227685937500000*Pi^14*f^14+244140625000000000000000000000000000000000+4076578125000000000*Pi^...v_m[2] := -1/10000*(5062500000*Pi^16*f^16+23546315250000*Pi^16*f^14+29241*Pi^20*f^18-1315113975*Pi^18*f^16-227685937500000*Pi^14*f^14+244140625000000000000000000000000000000000+4076578125000000000*Pi^...v_m[2] := -1/10000*(5062500000*Pi^16*f^16+23546315250000*Pi^16*f^14+29241*Pi^20*f^18-1315113975*Pi^18*f^16-227685937500000*Pi^14*f^14+244140625000000000000000000000000000000000+4076578125000000000*Pi^...v_m[2] := -1/10000*(5062500000*Pi^16*f^16+23546315250000*Pi^16*f^14+29241*Pi^20*f^18-1315113975*Pi^18*f^16-227685937500000*Pi^14*f^14+244140625000000000000000000000000000000000+4076578125000000000*Pi^...v_m[2] := -1/10000*(5062500000*Pi^16*f^16+23546315250000*Pi^16*f^14+29241*Pi^20*f^18-1315113975*Pi^18*f^16-227685937500000*Pi^14*f^14+244140625000000000000000000000000000000000+4076578125000000000*Pi^...v_m[2] := -1/10000*(5062500000*Pi^16*f^16+23546315250000*Pi^16*f^14+29241*Pi^20*f^18-1315113975*Pi^18*f^16-227685937500000*Pi^14*f^14+244140625000000000000000000000000000000000+4076578125000000000*Pi^...v_m[2] := -1/10000*(5062500000*Pi^16*f^16+23546315250000*Pi^16*f^14+29241*Pi^20*f^18-1315113975*Pi^18*f^16-227685937500000*Pi^14*f^14+244140625000000000000000000000000000000000+4076578125000000000*Pi^...v_m[2] := -1/10000*(5062500000*Pi^16*f^16+23546315250000*Pi^16*f^14+29241*Pi^20*f^18-1315113975*Pi^18*f^16-227685937500000*Pi^14*f^14+244140625000000000000000000000000000000000+4076578125000000000*Pi^...v_m[2] := -1/10000*(5062500000*Pi^16*f^16+23546315250000*Pi^16*f^14+29241*Pi^20*f^18-1315113975*Pi^18*f^16-227685937500000*Pi^14*f^14+244140625000000000000000000000000000000000+4076578125000000000*Pi^...v_m[2] := -1/10000*(5062500000*Pi^16*f^16+23546315250000*Pi^16*f^14+29241*Pi^20*f^18-1315113975*Pi^18*f^16-227685937500000*Pi^14*f^14+244140625000000000000000000000000000000000+4076578125000000000*Pi^...v_m[2] := -1/10000*(5062500000*Pi^16*f^16+23546315250000*Pi^16*f^14+29241*Pi^20*f^18-1315113975*Pi^18*f^16-227685937500000*Pi^14*f^14+244140625000000000000000000000000000000000+4076578125000000000*Pi^...v_m[2] := -1/10000*(5062500000*Pi^16*f^16+23546315250000*Pi^16*f^14+29241*Pi^20*f^18-1315113975*Pi^18*f^16-227685937500000*Pi^14*f^14+244140625000000000000000000000000000000000+4076578125000000000*Pi^...v_m[2] := -1/10000*(5062500000*Pi^16*f^16+23546315250000*Pi^16*f^14+29241*Pi^20*f^18-1315113975*Pi^18*f^16-227685937500000*Pi^14*f^14+244140625000000000000000000000000000000000+4076578125000000000*Pi^...v_m[2] := -1/10000*(5062500000*Pi^16*f^16+23546315250000*Pi^16*f^14+29241*Pi^20*f^18-1315113975*Pi^18*f^16-227685937500000*Pi^14*f^14+244140625000000000000000000000000000000000+4076578125000000000*Pi^...

The following diagram shows the ground velocities for all the up to now  situations

> PEma:=plot(abs(v_m[2]/F[0]),f=0..100,color=red,thickness=2,legend="absolute value double spring with one damper"):

> display(PEma,PEMWa,PEKVa,PEda,PEsa,PEra,title="Ground Velocity in m/s");

[Plot]

We calculate the insertion loss of the device

> dv_rm:=simplify(20*log[10](abs(v_r[2]/v_m[2])));

dv_rm := -20*(ln(5)-ln(abs((7581*Pi^8*f^7+9927500000*I*Pi^5*f^4-61370000*Pi^6*f^5+4687500000000*Pi^5*f^5-9398437500000000*I*Pi^4*f^4+1312500000*Pi^4*f^5-376875000000*I*Pi^3*f^4+1718750000000000*I*Pi*f...dv_rm := -20*(ln(5)-ln(abs((7581*Pi^8*f^7+9927500000*I*Pi^5*f^4-61370000*Pi^6*f^5+4687500000000*Pi^5*f^5-9398437500000000*I*Pi^4*f^4+1312500000*Pi^4*f^5-376875000000*I*Pi^3*f^4+1718750000000000*I*Pi*f...dv_rm := -20*(ln(5)-ln(abs((7581*Pi^8*f^7+9927500000*I*Pi^5*f^4-61370000*Pi^6*f^5+4687500000000*Pi^5*f^5-9398437500000000*I*Pi^4*f^4+1312500000*Pi^4*f^5-376875000000*I*Pi^3*f^4+1718750000000000*I*Pi*f...dv_rm := -20*(ln(5)-ln(abs((7581*Pi^8*f^7+9927500000*I*Pi^5*f^4-61370000*Pi^6*f^5+4687500000000*Pi^5*f^5-9398437500000000*I*Pi^4*f^4+1312500000*Pi^4*f^5-376875000000*I*Pi^3*f^4+1718750000000000*I*Pi*f...dv_rm := -20*(ln(5)-ln(abs((7581*Pi^8*f^7+9927500000*I*Pi^5*f^4-61370000*Pi^6*f^5+4687500000000*Pi^5*f^5-9398437500000000*I*Pi^4*f^4+1312500000*Pi^4*f^5-376875000000*I*Pi^3*f^4+1718750000000000*I*Pi*f...

> PErma:=plot(dv_rm,f=0..100,color=red,legend="double elastic support",title="Insertion Loss in dB",thickness=2):

> display(PErma,PErMWa,PErKVa,PErda,PErsa);

This devise is not so easy to classify, because to do this we must consider a lot of different combinations of spring stiffness, damping resistances and Additionally masses. The combination we used in this example seems not to be a very good solution.

[Plot]

Vibration Isolation by Double Spring-Damper Device

Next we consider the situation that a combination of a KELVIN-VOIGT device, an additional mass and a second KELVIN-VOIGT device in series is set between the machine and the ground  as shown in Figure 18.

[Inserted Image]

Figure 18

The spring stiffness shall be

> k[a7] := 2*k[2]

k[a7] := 20000

> k[b7] := 2*k[2]

k[b7] := 20000

and the damping resistance is

> d[a7] := 2*d[3]

d[a7] := 60

> d[b7] := 2*d[3]

d[b7] := 60

The mass shall be

> m[7]:=1;

m[7] := 1

The matrices of the single quadripole parameter are

first KELVIN-VOIGT device:

> Aq:=subs({k=k[a7],d=d[a7]},evalm(A[KELVINVOIGT]));

Aq := matrix([[1, 0], [-Omega/(-60*Omega+20000*I), 1]])

mass

> Ar:=subs(m=m[7],evalm(A[mass]));

Ar := matrix([[1, I*Omega], [0, 1]])

second KELVIN-VOIGT device

> As:=subs({k=k[b7],d=d[b7]},evalm(A[KELVINVOIGT]));

As := matrix([[1, 0], [-Omega/(-60*Omega+20000*I), 1]])

The matrix of the quadripole parameter of the serial connection of the fist KELVIN-VOIGT device, mass and the second  KELVIN-VOIGT device is

> Aqrs:=serialconnection(Aq,Ar,As);

Aqrs := matrix([[-I*Omega^2/(-60*Omega+20000*I)+1, I*Omega], [-Omega/(-60*Omega+20000*I)-(-I*Omega^2/(-60*Omega+20000*I)+1)*Omega/(-60*Omega+20000*I), -I*Omega^2/(-60*Omega+20000*I)+1]])

This yields with the source in series

> A[7]:=subs(sub1,serialconnection(A[s],Aqrs));

A[7] := matrix([[-4*I*Pi^2*f^2/(-120*Pi*f+20000*I)+1+(250000*Pi^2*f^2/(6250000-4975*Pi^2*f^2+Pi^4*f^4)-50000*I*Pi*f*(-2500+Pi^2*f^2)/(6250000-4975*Pi^2*f^2+Pi^4*f^4))*(-2*Pi*f/(-120*Pi*f+20000*I)-2*(-...A[7] := matrix([[-4*I*Pi^2*f^2/(-120*Pi*f+20000*I)+1+(250000*Pi^2*f^2/(6250000-4975*Pi^2*f^2+Pi^4*f^4)-50000*I*Pi*f*(-2500+Pi^2*f^2)/(6250000-4975*Pi^2*f^2+Pi^4*f^4))*(-2*Pi*f/(-120*Pi*f+20000*I)-2*(-...A[7] := matrix([[-4*I*Pi^2*f^2/(-120*Pi*f+20000*I)+1+(250000*Pi^2*f^2/(6250000-4975*Pi^2*f^2+Pi^4*f^4)-50000*I*Pi*f*(-2500+Pi^2*f^2)/(6250000-4975*Pi^2*f^2+Pi^4*f^4))*(-2*Pi*f/(-120*Pi*f+20000*I)-2*(-...

The velocity at the output gate is

> v_z[2]:=trans(A[7],input,R[r]);

v_z[2] := -1/2*(443920898437500000000000000000000*Pi^5*f^5-15258789062500000000000000000000000000000*I+3300139260*Pi^17*f^15+571353750000000*Pi^13*f^13-83426003906250000000000000000*Pi^7*f^7-100598144...v_z[2] := -1/2*(443920898437500000000000000000000*Pi^5*f^5-15258789062500000000000000000000000000000*I+3300139260*Pi^17*f^15+571353750000000*Pi^13*f^13-83426003906250000000000000000*Pi^7*f^7-100598144...v_z[2] := -1/2*(443920898437500000000000000000000*Pi^5*f^5-15258789062500000000000000000000000000000*I+3300139260*Pi^17*f^15+571353750000000*Pi^13*f^13-83426003906250000000000000000*Pi^7*f^7-100598144...v_z[2] := -1/2*(443920898437500000000000000000000*Pi^5*f^5-15258789062500000000000000000000000000000*I+3300139260*Pi^17*f^15+571353750000000*Pi^13*f^13-83426003906250000000000000000*Pi^7*f^7-100598144...v_z[2] := -1/2*(443920898437500000000000000000000*Pi^5*f^5-15258789062500000000000000000000000000000*I+3300139260*Pi^17*f^15+571353750000000*Pi^13*f^13-83426003906250000000000000000*Pi^7*f^7-100598144...v_z[2] := -1/2*(443920898437500000000000000000000*Pi^5*f^5-15258789062500000000000000000000000000000*I+3300139260*Pi^17*f^15+571353750000000*Pi^13*f^13-83426003906250000000000000000*Pi^7*f^7-100598144...v_z[2] := -1/2*(443920898437500000000000000000000*Pi^5*f^5-15258789062500000000000000000000000000000*I+3300139260*Pi^17*f^15+571353750000000*Pi^13*f^13-83426003906250000000000000000*Pi^7*f^7-100598144...v_z[2] := -1/2*(443920898437500000000000000000000*Pi^5*f^5-15258789062500000000000000000000000000000*I+3300139260*Pi^17*f^15+571353750000000*Pi^13*f^13-83426003906250000000000000000*Pi^7*f^7-100598144...v_z[2] := -1/2*(443920898437500000000000000000000*Pi^5*f^5-15258789062500000000000000000000000000000*I+3300139260*Pi^17*f^15+571353750000000*Pi^13*f^13-83426003906250000000000000000*Pi^7*f^7-100598144...v_z[2] := -1/2*(443920898437500000000000000000000*Pi^5*f^5-15258789062500000000000000000000000000000*I+3300139260*Pi^17*f^15+571353750000000*Pi^13*f^13-83426003906250000000000000000*Pi^7*f^7-100598144...v_z[2] := -1/2*(443920898437500000000000000000000*Pi^5*f^5-15258789062500000000000000000000000000000*I+3300139260*Pi^17*f^15+571353750000000*Pi^13*f^13-83426003906250000000000000000*Pi^7*f^7-100598144...v_z[2] := -1/2*(443920898437500000000000000000000*Pi^5*f^5-15258789062500000000000000000000000000000*I+3300139260*Pi^17*f^15+571353750000000*Pi^13*f^13-83426003906250000000000000000*Pi^7*f^7-100598144...v_z[2] := -1/2*(443920898437500000000000000000000*Pi^5*f^5-15258789062500000000000000000000000000000*I+3300139260*Pi^17*f^15+571353750000000*Pi^13*f^13-83426003906250000000000000000*Pi^7*f^7-100598144...v_z[2] := -1/2*(443920898437500000000000000000000*Pi^5*f^5-15258789062500000000000000000000000000000*I+3300139260*Pi^17*f^15+571353750000000*Pi^13*f^13-83426003906250000000000000000*Pi^7*f^7-100598144...v_z[2] := -1/2*(443920898437500000000000000000000*Pi^5*f^5-15258789062500000000000000000000000000000*I+3300139260*Pi^17*f^15+571353750000000*Pi^13*f^13-83426003906250000000000000000*Pi^7*f^7-100598144...v_z[2] := -1/2*(443920898437500000000000000000000*Pi^5*f^5-15258789062500000000000000000000000000000*I+3300139260*Pi^17*f^15+571353750000000*Pi^13*f^13-83426003906250000000000000000*Pi^7*f^7-100598144...v_z[2] := -1/2*(443920898437500000000000000000000*Pi^5*f^5-15258789062500000000000000000000000000000*I+3300139260*Pi^17*f^15+571353750000000*Pi^13*f^13-83426003906250000000000000000*Pi^7*f^7-100598144...v_z[2] := -1/2*(443920898437500000000000000000000*Pi^5*f^5-15258789062500000000000000000000000000000*I+3300139260*Pi^17*f^15+571353750000000*Pi^13*f^13-83426003906250000000000000000*Pi^7*f^7-100598144...v_z[2] := -1/2*(443920898437500000000000000000000*Pi^5*f^5-15258789062500000000000000000000000000000*I+3300139260*Pi^17*f^15+571353750000000*Pi^13*f^13-83426003906250000000000000000*Pi^7*f^7-100598144...v_z[2] := -1/2*(443920898437500000000000000000000*Pi^5*f^5-15258789062500000000000000000000000000000*I+3300139260*Pi^17*f^15+571353750000000*Pi^13*f^13-83426003906250000000000000000*Pi^7*f^7-100598144...v_z[2] := -1/2*(443920898437500000000000000000000*Pi^5*f^5-15258789062500000000000000000000000000000*I+3300139260*Pi^17*f^15+571353750000000*Pi^13*f^13-83426003906250000000000000000*Pi^7*f^7-100598144...

The following diagram shows the ground velocities

> PEza:=plot(abs(v_z[2]/F[0]),f=0..100,color=maroon,thickness=2,legend="absolute value double spring-damper device"):

> display(PEza,PEma,PEMWa,PEKVa,PEda,PEsa,PEra,title="Ground Velocity in m/s");

[Plot]

We calculate the insertion loss of the device

> dv_rz:=simplify( 20*log[10](abs(v_r[2]/v_z[2])) ):

> PErza:=plot(dv_rz,f=0..100,color=maroon,legend="double spring-damper device",title="Insertion Loss in dB",thickness=2):

> display(PErza,PErma,PErMWa,PErKVa,PErda,PErsa);

[Plot]

>

Consider that this device has the same additional mass as the device above. The only difference between both models is the fact that the damper here is divided in two, just as the spring, so the motion of the additional mass is directly damped in this model. The advantage is easy to see in the insertion loss. We get with this device for frequencies higher than about 60 Hz the best values for the insertion loss. Such devices are often used for the isolation of machines in very sensitive areas, for example, in ships. The vibration of the motor of a ship otherwise can easily be transmitted through all the ship.

But once again: Remember that all numerical values are only academic examples. Real devises have more complicated properties than we can show here. For exdample, the spring itself is a mass, every real damper has a certain stiffness, and I don't believe that one can find in reality a vibration source with such a simple form of the impedancethe as described here .

Literature

[1] M. Heckl, H.A. Mller, Taschenbuch der Technischen Akustik, p. 571-595, Springer-Verlag, 2nd Edition, Berlin 1994

[2] E. Seidel, Wirksamkeit von Konstruktionen zur Schwingungs- und Krperschalldmmung in Maschinen und Gerten, Schriftenreihe der Bundesanstalt fr Arbeitsschutz und Arbeitsmedizin, Dortmund/Berlin 1999