Application Center - Maplesoft

App Preview:

Calculus II: Complete Set of Lessons

You can switch back to the summary page by clicking here.

Learn about Maple
Download Application


 

L1-area.mws

Calculus II

Lesson 1: Area Between Curves

Exercise 1

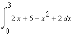
g(x) = x^2+2 and f(x) = 2*x+5

(a) Plot both functions on the same axes. (b) Find the area of the region enclosed between the curves from x = 0 to x = 6.

> restart:

> with(plots):

Warning, the name changecoords has been redefined

> g:= x -> x^2 + 2;

g := proc (x) options operator, arrow; x^2+2 end pr...

> f:= x -> 2*x + 5;

f := proc (x) options operator, arrow; 2*x+5 end pr...

> a:= plot(g(x), x = -1..7, thickness=2, color = red):

> b:= plot(f(x), x = -1..7, thickness=2, color = brown):

> display({a,b});

[Maple Plot]

We need to find the intersection points for these two plots.

> solve(x^2 + 2 - 2*x - 5, x);

3, -1

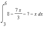
The area enclosed by these curves from x = 0 to x = 5 is

int(2*x+5-x^2-2,x = 0 .. 3) + int(x^2+2-2*x-5,x = 3 .. 6)

> int(2*x + 5 - x^2 - 2, x = 0..3);

9

> int(x^2 + 2 - 2*x - 5, x = 3..6);

27

Thus the total are enclosed is 27 + 9 = 36 sq units.

Let's redo the plot where we shade the areas in question.

> m:= plot(f(x), x = 0..7, thickness=2, color = magenta, axes=boxed):

> n:= plot(g(x), x = 0..7, thickness=2, color = blue,axes=boxed):

> p:= seq( plot([0 + i * (3/100) , t, t = g(0 + i*(3/100))..f(0 + i * (3/100))], thickness=2, color=red), i = 0..99):

> q:= seq( plot([3 + i * (3/100), t, t = f(3 + i *(3/100))..g(3 + i *(3/100))], thickness=2, color = brown), i = 1..100):

> r:= textplot([6,45,`g`], align=RIGHT):

> s:= textplot([6.5,7,`f`],align=RIGHT):

> display({m,n,p,q,r,s});

[Maple Plot]

Exercise 2

The parabola y = a*x^2+b*x+c is tangent to the graph of y = 2+abs(x-3) at two points and the area of the region bounded by their graphs is 10. Find a, b, and c. Make a sketch.

Solution :

The axis of the parabola is x = -b/(2*a) . That is also the axis of y = 2+abs(x-3) , so -b/(2*a) = 3 , or b = -6*a . The point where the slope of the parabola is 1 is on both graphs. Call the point [ x[0], y[0] ]. Then x[0]-1 = a*x[0]^2-6*a*x[0]+c and 1 = 2*a*x[0]-6*a .

> restart;

> eq1 := x0-1 = a*x0^2 -6*a*x0 + c;

eq1 := x0-1 = a*x0^2-6*a*x0+c

> eq2 := 1 = 2*a*x0 - 6*a;

eq2 := 1 = 2*a*x0-6*a

> ac := solve({eq1,eq2},{a,c});

ac := {c = 1/2*(x0^2-2*x0+6)/(x0-3), a = 1/2*1/(x0-...

Finally, the area between the curves is 100, so the righthand half is 50.

> eq3 := Int (a*x^2-6*a*x+c-(2+x-3),x=3..x0)=50;

eq3 := Int(a*x^2-6*a*x+c+1-x,x = 3 .. x0) = 50

> eq3 := int (a*x^2-6*a*x+c-(2+x-3),x=3..x0)=50;

eq3 := 1/3*a*(x0^3-27)+1/2*(-1-6*a)*(x0^2-9)+c*(x0-...

> sol :=solve(subs(ac,eq3),x0);

sol := 3+10*sqrt(3), 3-10*sqrt(3)

> assign({x0=sol[1]}); assign(ac);

> plot([2+abs(x-3),a*x^2-6*a*x+c],x=sol[2]-2..sol[1]+2,thickness=2, color=[red,green], thickness=2);

[Maple Plot]

Exercise 3

Sketch the region bounded by the given curves and find the area of the region.

x = 3y, x + y = 0, 7x + 3y = 24.

> with(plots):

Warning, the name changecoords has been redefined

> f:= x -> x/3;

f := proc (x) options operator, arrow; 1/3*x end pr...

> g:= x -> -x;

g := proc (x) options operator, arrow; -x end proc

> h:= x -> (24 - 7*x) / 3;

h := proc (x) options operator, arrow; 8-7/3*x end ...

> a:= plot(f(x), x = -.5..7, thickness=2, color = brown):

> b:= plot(g(x), x = -.5..7, thickness=2, color = blue):

> c:= plot(h(x), x = -.5..7, thickness=2, color = magenta):

> d:= textplot([6,4,`f`], thickness=2, color = brown):

> e:= textplot([1.5,7,`h`], thickness=2, color = magenta):

> k:= textplot([2,-4,`g`], thickness=2, color = blue):

> p:= seq( plot([0 + i * (3/50) , t, t = g(0 + i*(3/50))..f(0 + i * (3/50))], thickness=2, color=red), i = 1..50):

> q:= seq( plot([3 + i * (3/50), t, t = g(3 + i *(3/50))..h(3 + i *(3/50))], thickness=2, color = brown), i = 0..49):

> display({a,b,c,d,e,k,p,q});

[Maple Plot]

We need to find the points of intersection.

We set f = g, h = g, and h = f.

> solve(f(x) = g(x), x);

0

> solve(h(x) = g(x), x);

6

> solve(h(x) = f(x), x);

3

Hence the desired area is given by

int(x/3-%?-x,x = 0 .. 3) + int(8-7*x/3-%?-x,x = 3 .. 6)

> int(x/3 + x, x= 0..3);

6

> int(8 - (7*x)/3 + x, x = 3..6);

6

Thus total area is 12 sq units.

Exercise 4

For what values of m do the line y = mx and the curve y = x/(x^2+1)

enclose a region? Find the area of the region.

> restart:

> with(plots):

Warning, the name changecoords has been redefined

First lets plot the curve y = x/(x^2+1)

along with an example of y = mx, where say m = 1/2 .

.

> plot({x/2, x/(x^2 + 1)}, x = -.5...5, thickness=2);

[Maple Plot]

We need to determine how large the slope m can be and still enclose

a region. From the above plot, the magnitude of m is determined

by the derivative of the curve y = x/(x^2+1) at x = 0.

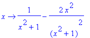
> f:= x -> x / (x^2 + 1);

f := proc (x) options operator, arrow; x/(x^2+1) en...

> D(f);

proc (x) options operator, arrow; 1/(x^2+1)-2*x^2/(...

> %(0);

1

Thus f ' (0) = 1. Hence a region is enclosed provided 0 < m < 1.

Let's replot the curve and shade the region enclosed for an example m, say m = 1/4.

Then we calculate the area for an arbitrary value of m.

> g:= x -> (1/4) * x;

g := proc (x) options operator, arrow; 1/4*x end pr...

> solve(f(x) = g(x), x);

0, sqrt(3), -sqrt(3)

> a:= plot(f(x), x = 0..2, thickness=2, color = blue):

> b:= plot(g(x), x = 0..2, thickness=2, color = brown):

> p:= seq( plot([0 + i * (sqrt(3)/50) , t, t = g(0 + i*(sqrt(3)/50))..f(0 + i * (sqrt(3)/50))], thickness=2, color=red), i = 1..49):

> display({a,b,p});

[Maple Plot]

> solve( x / (x^2 + 1) = m * x,x);

0, 1/m*(-m*(-1+m))^(1/2), -1/m*(-m*(-1+m))^(1/2)

Thus the intersection of the two curves is precisely when x = sqrt(-m(-1+m))/m .

Hence the area is enclosed is given by:

int(x/(x^2+1)-m*x,x = 0 .. sqrt(-m(-1+m))/m) .

Let's have maple do the integration.

> int(x / (x^2 + 1) - m*x, x = 0..sqrt(-m*(-1+m))/m);

1/2*ln(1/m)+1/2*m-1/2

Thus the area enclosed, for 0 < m < 1, is precisely:

1/2*ln(1/m)-1/2+1/2*m .

Exercise 5

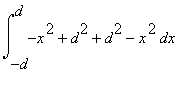
Find the value of d such that the area of the region bounded by the

parabolas y = x^2 - d^2 and y = d^2 - x^2

is 576.

> restart:

> with(plots):

Warning, the name changecoords has been redefined

Let's get a sample picture. Say d = 3.

> f:= x -> x^2 - 9;

f := proc (x) options operator, arrow; x^2-9 end pr...

> g:= x -> 9 - x^2;

g := proc (x) options operator, arrow; 9-x^2 end pr...

> solve(f(x) = g(x), x);

3, -3

> a:= plot(f(x), x = -4..4, thickness=2, color = brown):

> b:= plot(g(x), x = -4..4, thickness=2, color = blue):

> c:= seq( plot([-3 + i * (6/50) , t, t = f(-3 + i*(6/50))..g(-3 + i * (6/50))], thickness=2, color=red), i = 1..49):

> display({a,b,c});

[Maple Plot]

We can see from the above plot that in the general case the functions f and g intersect

at d and -d.

The enclosed area is given by int(-x^2+d^2+d^2-x^2,x = -d .. d)

> int(2* d^2 - 2* x^2, x = -d..d );

8/3*d^3

> solve((8/3)*d^3 = 576, d)[1];

6

>

>

>

Thus when d = 6 or -6, the region enclosed has area 576.