Application Center - Maplesoft

App Preview:

Series Solutions to Differential Equations

You can switch back to the summary page by clicking here.

Learn about Maple
Download Application


 

Image 

Series Solutions to Differential Equations. 

 

Prof. C. Madigan 

Nova Scotia Agricultural College 

Truro, N.S.    B2N 5E3 

cmadigan@nsac.ca 

Solving linear differential equations with constant coefficients reduces to an algebraic problem.  There is no similar procedure for solving linear differential equations with variable coefficients.  With the exception of special types, such as the Cauchy equations, these will generally require the use of the power series techniques for a solution. 

Initialization. 

Typesetting:-mrow(Typesetting:-mi( 

 

Review of  Series and Power Series. 

 

SERIES 

 

Recall a power series in [powers of]  x - a  is an infinite series of the form 

                   Typesetting:-mrow(Typesetting:-mo( 

 

If  a = 0, this is a power series in x 

 

                    Typesetting:-mrow(Typesetting:-mo( 

 

 

An important aspect of any series is whether or not  it converges  (IE the infinite sum exists).   (one might say that the only good series is a converging series)  

NOTE:  A converging series can then be approximated by using its nth partial sum. 

Definition 1.  Given an infinite series   Typesetting:-mrow(Typesetting:-munderover(Typesetting:-mo(Let the sequence of partial sums of the series be Typesetting:-mrow(Typesetting:-msub(Typesetting:-mi(.  If this sequence is convergent IE if Typesetting:-mrow(Typesetting:-munder(Typesetting:-mo(the series is called convergent and S is called its sum.  If the limit Typesetting:-mrow(Typesetting:-munder(Typesetting:-mo(does not exist, the series is called divergent. 

 

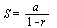
Examples.  1.  Geometric series  Typesetting:-mrow(Typesetting:-munderover(Typesetting:-mo(where a and r are constants.  This series converges to Typesetting:-mrow(Typesetting:-mi(if Typesetting:-mrow(Typesetting:-mfenced(Typesetting:-mrow(Typesetting:-mi( and diverges for Typesetting:-mrow(Typesetting:-mfenced(Typesetting:-mrow(Typesetting:-mi(The sum of the first n terms  Typesetting:-mrow(Typesetting:-msub(Typesetting:-mi( 

                 2.  p series  Typesetting:-mrow(Typesetting:-munderover(Typesetting:-mo(where p is a constant, converges for Typesetting:-mrow(Typesetting:-mi(", mathvariant = "normal", fence = "false", separator = "false", stretchy = "false", symmetric = "fal..." align="center" border="0"> and diverges for Typesetting:-mrow(Typesetting:-mi( 

 

Tests for convergence of a series 

 

There are several tests for convergence of a series. 

 

1. Comparison test for series of non-negative terms 

                 Let Typesetting:-mrow(Typesetting:-msub(Typesetting:-mi(and suppose Typesetting:-mrow(Typesetting:-mi( converges. Then if   0≤Typesetting:-mrow(Typesetting:-msub(Typesetting:-mi( then Typesetting:-mrow(Typesetting:-munderover(Typesetting:-mo( converges.  

                 If Typesetting:-mrow(Typesetting:-mi( diverges and if Typesetting:-mrow(Typesetting:-msub(Typesetting:-mi( then Typesetting:-mrow(Typesetting:-munderover(Typesetting:-mo( diverges. 

2. Quotient test for series of non-negative terms. 

               If  Typesetting:-mrow(Typesetting:-msub(Typesetting:-mi(and  Typesetting:-mrow(Typesetting:-msub(Typesetting:-mi(and if Typesetting:-mrow(Typesetting:-munder(Typesetting:-mo(either both converge or both diverge. 

              If A = 0 and if Typesetting:-mrow(Typesetting:-munderover(Typesetting:-mo(converges then Typesetting:-mrow(Typesetting:-munderover(Typesetting:-mo(converges 

              If A = ∞ and Typesetting:-mrow(Typesetting:-munderover(Typesetting:-mo(diverges then Typesetting:-mrow(Typesetting:-munderover(Typesetting:-mo(diverges 

3.  Integral test.  for series of non-negative terms. 

 

                If f(x) is positive, continuous and monotonic decreasing for x ≥ N and is such that f(n) = Typesetting:-mrow(Typesetting:-msub(Typesetting:-mi(, n = N, N+1, N+2, ...then  Typesetting:-mrow(Typesetting:-munderover(Typesetting:-mo( converges or diverges according as Typesetting:-mrow(Typesetting:-msubsup(Typesetting:-mo( converges or diverges. 

4. Alternating Series test.   

                 

                 An alternating series converges if it satisfies the two conditions 

                                     a) Typesetting:-mrow(Typesetting:-mfenced(Typesetting:-mrow(Typesetting:-mi( for n ≥ 1 

                             b) Typesetting:-mrow(Typesetting:-munder(Typesetting:-mo(or Typesetting:-mrow(Typesetting:-munder(Typesetting:-mo( 

 

Definition:  The series Typesetting:-mrow(Typesetting:-munderover(Typesetting:-mo( is called absolutely convergent if Typesetting:-mrow(Typesetting:-munderover(Typesetting:-mo(converges.  If Typesetting:-mrow(Typesetting:-munderover(Typesetting:-mo( converges but Typesetting:-mrow(Typesetting:-munderover(Typesetting:-mo( diverges, then Typesetting:-mrow(Typesetting:-munderover(Typesetting:-mo( is called conditionally convergent. 

NOTE: An  absolutely convergent series is convergent. 

 

5. Ratio test.    

               Let  Typesetting:-mrow(Typesetting:-munder(Typesetting:-mo( Then the series Typesetting:-mrow(Typesetting:-munderover(Typesetting:-mo( 

                  a) converges (absolutely) if L < 1 

                  b) diverges if L > 1 

               If L = 1 the test fails. 

 

6. Raabe's test.   

               Let  Typesetting:-mrow(Typesetting:-munder(Typesetting:-mo( Then the series Typesetting:-mrow(Typesetting:-munderover(Typesetting:-mo( 

                  a) converges (absolutely) if L > 1 

                  b) diverges or converges conditionally if L < 1 

               If L = 1 the test fails. 

 

7. Gauss' test. 

            If  Typesetting:-mrow(Typesetting:-mfenced(Typesetting:-mrow(Typesetting:-mi(where Typesetting:-mrow(Typesetting:-mfenced(Typesetting:-mrow(Typesetting:-mi(  for all n > N, then the series Typesetting:-mrow(Typesetting:-munderover(Typesetting:-mo( 

                      a)  converges absolutely if  L > 1 

                      b)  diverges or is conditionally convergent if  L ≤ 1 

 

 

 

POWER SERIES 

 

A power series   Typesetting:-mrow(Typesetting:-mo( converges at the point x = Typesetting:-mrow(Typesetting:-msub(Typesetting:-mi( if the infinite series (of real numbers)  Typesetting:-mrow(Typesetting:-mo( converges. 

In general a power series converges absolutely for Typesetting:-mrow(Typesetting:-mfenced(Typesetting:-mrow(Typesetting:-mi(and diverges for Typesetting:-mrow(Typesetting:-mfenced(Typesetting:-mrow(Typesetting:-mi(.  R is called the radius of convergence.  

 

Note:  convergence at the endpoints requires separate analysis. 

 

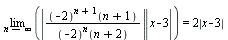
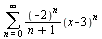
Example 1. Determine the convergence of    Typesetting:-mrow(Typesetting:-munderover(Typesetting:-mo( 

 

              Applying the ratio test we have   Typesetting:-mrow(Typesetting:-mi(= Typesetting:-mrow(Typesetting:-munder(Typesetting:-mo( 

 

              Hence  the series converges absolutely for Typesetting:-mrow(Typesetting:-mfenced(Typesetting:-mrow(Typesetting:-mi(diverges for Typesetting:-mrow(Typesetting:-mfenced(Typesetting:-mrow(Typesetting:-mi( 

 

              For Typesetting:-mrow(Typesetting:-mfenced(Typesetting:-mrow(Typesetting:-mi(   IE at Typesetting:-mrow(Typesetting:-mi(we must test separately 

 

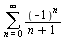
                 At Typesetting:-mrow(Typesetting:-mi( our series is Typesetting:-mrow(Typesetting:-munderover(Typesetting:-mo( the harmonic series known to diverge. 

                 At x = Typesetting:-mrow(Typesetting:-mfrac(Typesetting:-mn(our series is Typesetting:-mrow(Typesetting:-munderover(Typesetting:-mo( an alternating harmonic series that converges. 

 

The given series converges for  Typesetting:-mrow(Typesetting:-mfrac(Typesetting:-mn( and diverges everywhere else. 

 

Definition   A function Typesetting:-mrow(Typesetting:-mi( is said to be analytic at a point Typesetting:-mrow(Typesetting:-msub(Typesetting:-mi( if, in an open interval about Typesetting:-mrow(Typesetting:-msub(Typesetting:-mi( this function can be represented as a power series that has a positive radius of convergence. 

 

Taylor Series  If  f is analytic at Typesetting:-mrow(Typesetting:-msub(Typesetting:-mi( , then the representation  

 

                          Typesetting:-mrow(Typesetting:-mi( holds in some open interval about Typesetting:-mrow(Typesetting:-msub(Typesetting:-mi( and is called the Taylor series for Typesetting:-mrow(Typesetting:-mi( about Typesetting:-mrow(Typesetting:-msub(Typesetting:-mi( When Typesetting:-mrow(Typesetting:-msub(Typesetting:-mi( , it is also called the Maclaurin series for Typesetting:-mrow(Typesetting:-mi( 

 

 

Power Series Solutions to Linear Differential Equations. 

 

We now consider a method for obtaining a power series solution to a linear differential equation with polynomial coefficients. 

 

Given the differential equation  

 

                            Typesetting:-mrow(Typesetting:-msub(Typesetting:-mi( 

 

we begin by writing it in the standard form 

 

                            Typesetting:-mrow(Typesetting:-mi(and Typesetting:-mrow(Typesetting:-mi( 

 

Definition 1  A point Typesetting:-mrow(Typesetting:-msub(Typesetting:-mi( is called an ordinary point of equation (1) if both p(x) and q(x) are analytic at Typesetting:-mrow(Typesetting:-msub(Typesetting:-mi(  If it is not an ordinary point, it is called a singular point of the equation. 

 

Definition 2.   A singular point Typesetting:-mrow(Typesetting:-msub(Typesetting:-mi( of  (2) is said to be a regular singular point if both Typesetting:-mrow(Typesetting:-mfenced(Typesetting:-mrow(Typesetting:-mi( and Typesetting:-mrow(Typesetting:-msup(Typesetting:-mfenced(Typesetting:-mrow(Typesetting:-mi( are analytic at Typesetting:-mrow(Typesetting:-msub(Typesetting:-mi(  Otherwise Typesetting:-mrow(Typesetting:-msub(Typesetting:-mi( is called an irregular singular point. 

 

Solutions about an ordinary point  x = Typesetting:-mrow(Typesetting:-msub(Typesetting:-mi( 

 

We assume that a power series solution of the form  Typesetting:-mrow(Typesetting:-mi(exists and our task is to determine the coefficients This task is accomplished by substituting this series into the differential equation, combining the result into a single series by collecting the result in powers of x and then in order for this series to be identically zero, we must have that all of its coefficients must be equal to zero. 

 

We make use of Maples commands , series, series ,coeff, coeff ,convert, convert  collect, collect , etc  to carry out the required work. 

 

Example 1 Solve the equation 2y'' +xy' + y  = 0 about the ordinary point x = 0. 

 

Step 1.  Define the deq 

Typesetting:-mrow(Typesetting:-mi( 

`+`(`*`(2, `*`(diff(diff(y(x), x), x))), `*`(x, `*`(diff(y(x), x))), y(x)) = 0 (3.1.1.1)
 

Step 2.  Define the series solution (begin by setting the order to be used for the series) 

Typesetting:-mrow(Typesetting:-mi( 

10 (3.1.1.2)
 

Typesetting:-mrow(Typesetting:-mi( 

series(`+`(y(0), `*`((D(y))(0), `*`(x)), `*`(`*`(`/`(1, 2), `*`(((`@@`(D, 2))(y))(0))), `*`(`^`(x, 2))), `*`(`*`(`/`(1, 6), `*`(((`@@`(D, 3))(y))(0))), `*`(`^`(x, 3))), `*`(`*`(`/`(1, 24), `*`(((`@@`(...
series(`+`(y(0), `*`((D(y))(0), `*`(x)), `*`(`*`(`/`(1, 2), `*`(((`@@`(D, 2))(y))(0))), `*`(`^`(x, 2))), `*`(`*`(`/`(1, 6), `*`(((`@@`(D, 3))(y))(0))), `*`(`^`(x, 3))), `*`(`*`(`/`(1, 24), `*`(((`@@`(...
(3.1.1.3)
 

Step 3.  Substitute the series into the deq. 

 

Typesetting:-mrow(Typesetting:-mi( 

`+`(`*`(2, `*`(series(`+`(((`@@`(D, 2))(y))(0), `*`(((`@@`(D, 3))(y))(0), `*`(x)), `*`(`*`(`/`(1, 2), `*`(((`@@`(D, 4))(y))(0))), `*`(`^`(x, 2))), `*`(`*`(`/`(1, 6), `*`(((`@@`(D, 5))(y))(0))), `*`(`^...
`+`(`*`(2, `*`(series(`+`(((`@@`(D, 2))(y))(0), `*`(((`@@`(D, 3))(y))(0), `*`(x)), `*`(`*`(`/`(1, 2), `*`(((`@@`(D, 4))(y))(0))), `*`(`^`(x, 2))), `*`(`*`(`/`(1, 6), `*`(((`@@`(D, 5))(y))(0))), `*`(`^...
`+`(`*`(2, `*`(series(`+`(((`@@`(D, 2))(y))(0), `*`(((`@@`(D, 3))(y))(0), `*`(x)), `*`(`*`(`/`(1, 2), `*`(((`@@`(D, 4))(y))(0))), `*`(`^`(x, 2))), `*`(`*`(`/`(1, 6), `*`(((`@@`(D, 5))(y))(0))), `*`(`^...
`+`(`*`(2, `*`(series(`+`(((`@@`(D, 2))(y))(0), `*`(((`@@`(D, 3))(y))(0), `*`(x)), `*`(`*`(`/`(1, 2), `*`(((`@@`(D, 4))(y))(0))), `*`(`^`(x, 2))), `*`(`*`(`/`(1, 6), `*`(((`@@`(D, 5))(y))(0))), `*`(`^...
`+`(`*`(2, `*`(series(`+`(((`@@`(D, 2))(y))(0), `*`(((`@@`(D, 3))(y))(0), `*`(x)), `*`(`*`(`/`(1, 2), `*`(((`@@`(D, 4))(y))(0))), `*`(`^`(x, 2))), `*`(`*`(`/`(1, 6), `*`(((`@@`(D, 5))(y))(0))), `*`(`^...
(3.1.1.4)
 

Step 4  convert the series into a polynomial and collect in terms of powers of x 

 

Typesetting:-mrow(Typesetting:-mi( 

`+`(`*`(`/`(1, 36288), `*`(((`@@`(D, 9))(y))(0), `*`(`^`(x, 9)))), `*`(`/`(1, 4480), `*`(((`@@`(D, 8))(y))(0), `*`(`^`(x, 8)))), `*`(`+`(`*`(`/`(1, 2520), `*`(((`@@`(D, 9))(y))(0))), `*`(`/`(1, 630), ...
`+`(`*`(`/`(1, 36288), `*`(((`@@`(D, 9))(y))(0), `*`(`^`(x, 9)))), `*`(`/`(1, 4480), `*`(((`@@`(D, 8))(y))(0), `*`(`^`(x, 8)))), `*`(`+`(`*`(`/`(1, 2520), `*`(((`@@`(D, 9))(y))(0))), `*`(`/`(1, 630), ...
`+`(`*`(`/`(1, 36288), `*`(((`@@`(D, 9))(y))(0), `*`(`^`(x, 9)))), `*`(`/`(1, 4480), `*`(((`@@`(D, 8))(y))(0), `*`(`^`(x, 8)))), `*`(`+`(`*`(`/`(1, 2520), `*`(((`@@`(D, 9))(y))(0))), `*`(`/`(1, 630), ...
(3.1.1.5)
 

 

Step 5.  Use the Maple command coeff to select the coefficients of the powers of x.  An example of this command is 

 

Typesetting:-mrow(Typesetting:-mi( 

`+`(`*`(2, `*`(((`@@`(D, 2))(y))(0))), y(0)) (3.1.1.6)
 

We then set the coefficients equal to zero and solve for the unknown derivatives i terms of the initial conditions that are required in order to solve a second order DEQ  IE  y(0) = a  and y'(0) = b 

 

Typesetting:-mrow(Typesetting:-mi( 

{((`@@`(D, 9))(y))(0) = `+`(`*`(24, `*`(b))), ((`@@`(D, 8))(y))(0) = `+`(`*`(`/`(105, 16), `*`(a))), ((`@@`(D, 7))(y))(0) = `+`(`-`(`*`(6, `*`(b)))), ((`@@`(D, 6))(y))(0) = `+`(`-`(`*`(`/`(15, 8), `*`...
{((`@@`(D, 9))(y))(0) = `+`(`*`(24, `*`(b))), ((`@@`(D, 8))(y))(0) = `+`(`*`(`/`(105, 16), `*`(a))), ((`@@`(D, 7))(y))(0) = `+`(`-`(`*`(6, `*`(b)))), ((`@@`(D, 6))(y))(0) = `+`(`-`(`*`(`/`(15, 8), `*`...
(3.1.1.7)
 

Step 6.  Finally we substitute these values into our solution and collect the terms in terms of the parameters a and b. 

 

Typesetting:-mrow(Typesetting:-mi( 

`+`(`*`(`+`(1, `-`(`*`(`/`(1, 4), `*`(`^`(x, 2)))), `*`(`/`(1, 32), `*`(`^`(x, 4))), `-`(`*`(`/`(1, 384), `*`(`^`(x, 6)))), `*`(`/`(1, 6144), `*`(`^`(x, 8)))), `*`(a)), `*`(`+`(x, `-`(`*`(`/`(1, 6), `... (3.1.1.8)
 

We can check our result using Maple's dsolve command 

 

Typesetting:-mrow(Typesetting:-mi( 

y(x) = `+`(`*`(`+`(1, `-`(`*`(`/`(1, 4), `*`(`^`(x, 2)))), `*`(`/`(1, 32), `*`(`^`(x, 4))), `-`(`*`(`/`(1, 384), `*`(`^`(x, 6)))), `*`(`/`(1, 6144), `*`(`^`(x, 8)))), `*`(a)), `*`(`+`(x, `-`(`*`(`/`(1... (3.1.1.9)
 

 

 

 

Example 2. Solve the differential equation  Typesetting:-mrow(Typesetting:-msup(Typesetting:-mfenced(Typesetting:-mrow(Typesetting:-msup(Typesetting:-mi(about the ordinary                                    point x = 0. 

 

Step 1.  Define the deq 

 

 

Typesetting:-mrow(Typesetting:-mi( 

`+`(`*`(`+`(`*`(`^`(x, 2)), 1), `*`(diff(diff(y(x), x), x))), `-`(diff(y(x), x)), y(x)) = 0 (3.1.2.1)
 

Step 2.  Define the series solution (begin by setting the order to be used for the series) 

Typesetting:-mrow(Typesetting:-mi( 

 

Typesetting:-mrow(Typesetting:-mi( 

series(`+`(y(0), `*`((D(y))(0), `*`(x)), `*`(`*`(`/`(1, 2), `*`(((`@@`(D, 2))(y))(0))), `*`(`^`(x, 2))), `*`(`*`(`/`(1, 6), `*`(((`@@`(D, 3))(y))(0))), `*`(`^`(x, 3))), `*`(`*`(`/`(1, 24), `*`(((`@@`(...
series(`+`(y(0), `*`((D(y))(0), `*`(x)), `*`(`*`(`/`(1, 2), `*`(((`@@`(D, 2))(y))(0))), `*`(`^`(x, 2))), `*`(`*`(`/`(1, 6), `*`(((`@@`(D, 3))(y))(0))), `*`(`^`(x, 3))), `*`(`*`(`/`(1, 24), `*`(((`@@`(...
(3.1.2.2)
 

Step 3.  Substitute the series into the equation 

Typesetting:-mrow(Typesetting:-mi( 

`+`(`*`(`+`(`*`(`^`(x, 2)), 1), `*`(series(`+`(((`@@`(D, 2))(y))(0), `*`(((`@@`(D, 3))(y))(0), `*`(x)), `*`(`*`(`/`(1, 2), `*`(((`@@`(D, 4))(y))(0))), `*`(`^`(x, 2))), `*`(`*`(`/`(1, 6), `*`(((`@@`(D,...
`+`(`*`(`+`(`*`(`^`(x, 2)), 1), `*`(series(`+`(((`@@`(D, 2))(y))(0), `*`(((`@@`(D, 3))(y))(0), `*`(x)), `*`(`*`(`/`(1, 2), `*`(((`@@`(D, 4))(y))(0))), `*`(`^`(x, 2))), `*`(`*`(`/`(1, 6), `*`(((`@@`(D,...
`+`(`*`(`+`(`*`(`^`(x, 2)), 1), `*`(series(`+`(((`@@`(D, 2))(y))(0), `*`(((`@@`(D, 3))(y))(0), `*`(x)), `*`(`*`(`/`(1, 2), `*`(((`@@`(D, 4))(y))(0))), `*`(`^`(x, 2))), `*`(`*`(`/`(1, 6), `*`(((`@@`(D,...
`+`(`*`(`+`(`*`(`^`(x, 2)), 1), `*`(series(`+`(((`@@`(D, 2))(y))(0), `*`(((`@@`(D, 3))(y))(0), `*`(x)), `*`(`*`(`/`(1, 2), `*`(((`@@`(D, 4))(y))(0))), `*`(`^`(x, 2))), `*`(`*`(`/`(1, 6), `*`(((`@@`(D,...
`+`(`*`(`+`(`*`(`^`(x, 2)), 1), `*`(series(`+`(((`@@`(D, 2))(y))(0), `*`(((`@@`(D, 3))(y))(0), `*`(x)), `*`(`*`(`/`(1, 2), `*`(((`@@`(D, 4))(y))(0))), `*`(`^`(x, 2))), `*`(`*`(`/`(1, 6), `*`(((`@@`(D,...
(3.1.2.3)
 

Step 4  convert the series into a polynomial and collect in terms of powers of x 

 

Typesetting:-mrow(Typesetting:-mi( 

`+`(`*`(`/`(73, 362880), `*`(((`@@`(D, 9))(y))(0), `*`(`^`(x, 9)))), `*`(`+`(`*`(`/`(19, 13440), `*`(((`@@`(D, 8))(y))(0))), `-`(`*`(`/`(1, 40320), `*`(((`@@`(D, 9))(y))(0))))), `*`(`^`(x, 8))), `*`(`...
`+`(`*`(`/`(73, 362880), `*`(((`@@`(D, 9))(y))(0), `*`(`^`(x, 9)))), `*`(`+`(`*`(`/`(19, 13440), `*`(((`@@`(D, 8))(y))(0))), `-`(`*`(`/`(1, 40320), `*`(((`@@`(D, 9))(y))(0))))), `*`(`^`(x, 8))), `*`(`...
`+`(`*`(`/`(73, 362880), `*`(((`@@`(D, 9))(y))(0), `*`(`^`(x, 9)))), `*`(`+`(`*`(`/`(19, 13440), `*`(((`@@`(D, 8))(y))(0))), `-`(`*`(`/`(1, 40320), `*`(((`@@`(D, 9))(y))(0))))), `*`(`^`(x, 8))), `*`(`...
`+`(`*`(`/`(73, 362880), `*`(((`@@`(D, 9))(y))(0), `*`(`^`(x, 9)))), `*`(`+`(`*`(`/`(19, 13440), `*`(((`@@`(D, 8))(y))(0))), `-`(`*`(`/`(1, 40320), `*`(((`@@`(D, 9))(y))(0))))), `*`(`^`(x, 8))), `*`(`...
(3.1.2.4)
 

 

Step 5.  Use the Maple command coeff to select the coefficients of the powers of x.  Then set the coefficients equal to zero and solve for the unknown derivatives i terms of the initial conditions that are required in order to solve a second order DEQ  ie  y(0) = a  and y'(0) = b 

 

Typesetting:-mrow(Typesetting:-mi( 

{((`@@`(D, 6))(y))(0) = `+`(`*`(36, `*`(b)), `-`(`*`(17, `*`(a)))), ((`@@`(D, 3))(y))(0) = `+`(`-`(a)), ((`@@`(D, 5))(y))(0) = `+`(`-`(`*`(3, `*`(b))), `*`(9, `*`(a))), ((`@@`(D, 9))(y))(0) = `+`(`-`(...
{((`@@`(D, 6))(y))(0) = `+`(`*`(36, `*`(b)), `-`(`*`(17, `*`(a)))), ((`@@`(D, 3))(y))(0) = `+`(`-`(a)), ((`@@`(D, 5))(y))(0) = `+`(`-`(`*`(3, `*`(b))), `*`(9, `*`(a))), ((`@@`(D, 9))(y))(0) = `+`(`-`(...
(3.1.2.5)
 

 

Step 6.  Finally we substitute these values into our solution and collect the terms in terms of the parameters a and b. 

 

Typesetting:-mrow(Typesetting:-mi( 

`+`(`*`(`+`(1, `-`(`*`(`/`(1, 2), `*`(`^`(x, 2)))), `-`(`*`(`/`(1, 6), `*`(`^`(x, 3)))), `*`(`/`(1, 12), `*`(`^`(x, 4))), `*`(`/`(3, 40), `*`(`^`(x, 5))), `-`(`*`(`/`(17, 720), `*`(`^`(x, 6)))), `-`(`...
`+`(`*`(`+`(1, `-`(`*`(`/`(1, 2), `*`(`^`(x, 2)))), `-`(`*`(`/`(1, 6), `*`(`^`(x, 3)))), `*`(`/`(1, 12), `*`(`^`(x, 4))), `*`(`/`(3, 40), `*`(`^`(x, 5))), `-`(`*`(`/`(17, 720), `*`(`^`(x, 6)))), `-`(`...
(3.1.2.6)
 

 

 

We can check our result using Maple's dsolve command 

 

Typesetting:-mrow(Typesetting:-mi( 

y(x) = `+`(`*`(`+`(1, `-`(`*`(`/`(1, 2), `*`(`^`(x, 2)))), `-`(`*`(`/`(1, 6), `*`(`^`(x, 3)))), `*`(`/`(1, 12), `*`(`^`(x, 4))), `*`(`/`(3, 40), `*`(`^`(x, 5))), `-`(`*`(`/`(17, 720), `*`(`^`(x, 6))))...
y(x) = `+`(`*`(`+`(1, `-`(`*`(`/`(1, 2), `*`(`^`(x, 2)))), `-`(`*`(`/`(1, 6), `*`(`^`(x, 3)))), `*`(`/`(1, 12), `*`(`^`(x, 4))), `*`(`/`(3, 40), `*`(`^`(x, 5))), `-`(`*`(`/`(17, 720), `*`(`^`(x, 6))))...
(3.1.2.7)
 

 

 

 

 

 

NOTE:  One of the difficulties is determining the radius of convergence when we are not able to find a general form for the coefficients and use the ratio test. 

 

EXISTENCE OF ANALYTIC SOLUTIONS. 

 

    There is a theorem that states that if Typesetting:-mrow(Typesetting:-msub(Typesetting:-mi(is an ordinary point then equation has two linearly independent analytic solutions of the form   Typesetting:-mrow(Typesetting:-mi( and that the radius of convergence is as least as large as the distance from Typesetting:-mrow(Typesetting:-msub(Typesetting:-mi( to the nearest singular point (real or complex-valued) of the deq. 

 

In example 1 above since there are no singular points the radius of convergence is ∞. 

In example 2  there are two singular points  ? i and hence the radius of convergence of our solutions about the point x = 0 is at least 1. 

 

 

Maple also has a power series package PowerSeries  that allows you to work directly with power series. 

 

We will use this package in the following examples. 

 

Example 1.  Solve the IVP   y'' - (x-2)y' + 2y = 0;    y(0) = 1, y'(0) = -1 

 

We will use power series package in  Maple to find the solution 

 First to create the series  solution Ys(x)  =  Typesetting:-mrow(Typesetting:-munderover(Typesetting:-mo( 

   

Typesetting:-mrow(Typesetting:-mi( 

The command tpsform  converts the Powseries created above into a power  series form of the variable stated in the command. 

Typesetting:-mrow(Typesetting:-mi( 

series(`+`(a[0], `*`(a[1], `*`(x)), `*`(a[2], `*`(`^`(x, 2))), `*`(a[3], `*`(`^`(x, 3))), `*`(a[4], `*`(`^`(x, 4))), `*`(a[5], `*`(`^`(x, 5))), `*`(a[6], `*`(`^`(x, 6))), `*`(a[7], `*`(`^`(x, 7))), `*... (3.1.3.1)
 

Next we determine the necessary derivatives found in the given deq. 

 

Typesetting:-mrow(Typesetting:-mi( 

proc (powparm) local nn, t1; option `Copyright (c) 1990 by the University of Waterloo. All rights reserved.`; table( [( _k ) = `*`(`+`(_k, 1), `*`(Ys(`+`(_k, 1)))) ] ) if type(powparm, integer) then `... (3.1.3.2)
 

Typesetting:-mrow(Typesetting:-mi( 

proc (powparm) local nn, t1; option `Copyright (c) 1990 by the University of Waterloo. All rights reserved.`; table( [( _k ) = `*`(`+`(_k, 1), `*`(dy(`+`(_k, 1)))) ] ) if type(powparm, integer) then `... (3.1.3.3)
 

 

Note the answer is in the form of a procedure. You can see the power series by using the tpsform command.We also need to make the coeff of our eqn into a power series in order to use the powseries commands. 

Typesetting:-mrow(Typesetting:-mi( 

Typesetting:-mrow(Typesetting:-mi( 

 

You can see the power series by using the tpsform command.  For example   

 

Typesetting:-mrow(Typesetting:-mi( 

series(`+`(2, `-`(x)),x) (3.1.3.4)
 

Next we combine these series to form the lhs of the equation given using the commands for multiplying and adding power series. 

 

Typesetting:-mrow(Typesetting:-mi( 

proc (powparm) local nn, t1; option `Copyright (c) 1990 by the University of Waterloo. All rights reserved.`; table( [( _k ) = `+`(ddy(_k), _powser1(_k), _powser2(_k)) ] ) if type(powparm, integer) th... (3.1.3.5)
 

Typesetting:-mrow(Typesetting:-mi( 

series(`+`(`+`(`*`(2, `*`(a[2])), `*`(2, `*`(a[1])), `*`(2, `*`(a[0]))), `*`(`+`(`*`(6, `*`(a[3])), a[1], `*`(4, `*`(a[2]))), `*`(x)), `*`(`+`(`*`(12, `*`(a[4])), `*`(6, `*`(a[3]))), `*`(`^`(x, 2))), ...
series(`+`(`+`(`*`(2, `*`(a[2])), `*`(2, `*`(a[1])), `*`(2, `*`(a[0]))), `*`(`+`(`*`(6, `*`(a[3])), a[1], `*`(4, `*`(a[2]))), `*`(x)), `*`(`+`(`*`(12, `*`(a[4])), `*`(6, `*`(a[3]))), `*`(`^`(x, 2))), ...
(3.1.3.6)
 

Using the op command to identify the coefficients , setting them equal to zero, and solving for them in terms of a[0] and a[1] 

Typesetting:-mrow(Typesetting:-mi( 

{a[11] = `+`(`*`(`/`(7193, 13305600), `*`(a[1])), `*`(`/`(7193, 9979200), `*`(a[0]))), a[10] = `+`(`-`(`*`(`/`(37, 24192), `*`(a[1]))), `-`(`*`(`/`(37, 18144), `*`(a[0])))), a[2] = `+`(`-`(a[1]), `-`(...
{a[11] = `+`(`*`(`/`(7193, 13305600), `*`(a[1])), `*`(`/`(7193, 9979200), `*`(a[0]))), a[10] = `+`(`-`(`*`(`/`(37, 24192), `*`(a[1]))), `-`(`*`(`/`(37, 18144), `*`(a[0])))), a[2] = `+`(`-`(a[1]), `-`(...
(3.1.3.7)
 

Substituting the coeff into Y(x) 

 

Typesetting:-mrow(Typesetting:-mi( 

series(`+`(a[0], `*`(a[1], `*`(x)), `*`(`+`(`-`(a[1]), `-`(a[0])), `*`(`^`(x, 2))), `*`(`+`(`*`(`/`(1, 2), `*`(a[1])), `*`(`/`(2, 3), `*`(a[0]))), `*`(`^`(x, 3))), `*`(`+`(`-`(`*`(`/`(1, 4), `*`(a[1])...
series(`+`(a[0], `*`(a[1], `*`(x)), `*`(`+`(`-`(a[1]), `-`(a[0])), `*`(`^`(x, 2))), `*`(`+`(`*`(`/`(1, 2), `*`(a[1])), `*`(`/`(2, 3), `*`(a[0]))), `*`(`^`(x, 3))), `*`(`+`(`-`(`*`(`/`(1, 4), `*`(a[1])...
(3.1.3.8)
 

 

Converting our solution into a polynomial and collecting in terms  of Typesetting:-mrow(Typesetting:-msub(Typesetting:-mi(   

 

Typesetting:-mrow(Typesetting:-mi( 

`+`(a[0], `*`(a[1], `*`(x)), `*`(`+`(`-`(a[1]), `-`(a[0])), `*`(`^`(x, 2))), `*`(`+`(`*`(`/`(1, 2), `*`(a[1])), `*`(`/`(2, 3), `*`(a[0]))), `*`(`^`(x, 3))), `*`(`+`(`-`(`*`(`/`(1, 4), `*`(a[1]))), `-`...
`+`(a[0], `*`(a[1], `*`(x)), `*`(`+`(`-`(a[1]), `-`(a[0])), `*`(`^`(x, 2))), `*`(`+`(`*`(`/`(1, 2), `*`(a[1])), `*`(`/`(2, 3), `*`(a[0]))), `*`(`^`(x, 3))), `*`(`+`(`-`(`*`(`/`(1, 4), `*`(a[1]))), `-`...
(3.1.3.9)
 

Typesetting:-mrow(Typesetting:-mi( 

`+`(`*`(`+`(1, `-`(`*`(`^`(x, 2))), `*`(`/`(2, 3), `*`(`^`(x, 3))), `-`(`*`(`/`(1, 3), `*`(`^`(x, 4)))), `*`(`/`(1, 6), `*`(`^`(x, 5))), `-`(`*`(`/`(7, 90), `*`(`^`(x, 6)))), `*`(`/`(43, 1260), `*`(`^...
`+`(`*`(`+`(1, `-`(`*`(`^`(x, 2))), `*`(`/`(2, 3), `*`(`^`(x, 3))), `-`(`*`(`/`(1, 3), `*`(`^`(x, 4)))), `*`(`/`(1, 6), `*`(`^`(x, 5))), `-`(`*`(`/`(7, 90), `*`(`^`(x, 6)))), `*`(`/`(43, 1260), `*`(`^...
(3.1.3.10)
 

Finally, substituting the initial conditions and solving for a[0] and a[1] 

 

Typesetting:-mrow(Typesetting:-mi( 

{a[0] = 1, a[1] = -1} (3.1.3.11)
 

Typesetting:-mrow(Typesetting:-mi( 

`+`(1, `-`(x), `*`(`/`(1, 6), `*`(`^`(x, 3))), `-`(`*`(`/`(1, 12), `*`(`^`(x, 4)))), `*`(`/`(1, 24), `*`(`^`(x, 5))), `-`(`*`(`/`(7, 360), `*`(`^`(x, 6)))), `*`(`/`(43, 5040), `*`(`^`(x, 7))), `-`(`*`... (3.1.3.12)
 

Typesetting:-mrow(Typesetting:-mi( 

Plot_2d
 

 

Using Maples dsolve command to solve the given deq. 

 

Typesetting:-mrow(Typesetting:-mi( 

 

Typesetting:-mrow(Typesetting:-mi( 

y(x) = series(`+`(1, `-`(x), `*`(`/`(1, 6), `*`(`^`(x, 3))), `-`(`*`(`/`(1, 12), `*`(`^`(x, 4)))), `*`(`/`(1, 24), `*`(`^`(x, 5))), `-`(`*`(`/`(7, 360), `*`(`^`(x, 6)))), `*`(`/`(43, 5040), `*`(`^`(x,... (3.1.3.13)
 

NOTE:   Since this deq has NO singular points the radius of convergence for this solution is ∞.  ie it is valid for all values of x. 

 

 

Example 2. Solve the DEQ  y'' + xy' +(2x-3)y = 0  near x = -1. 

              

Note  x = -1 is an ordinary point for this deq.  

 

We first make the substitution  t = x - (-1) = x + 1. The resulting deq can then be solved near  t = 0 using the above techniques. 

ie  Since  y(x) = y(t-1)  and   Typesetting:-mrow(Typesetting:-mfrac(Typesetting:-mi(and  Typesetting:-mrow(Typesetting:-mfrac(Typesetting:-mrow(Typesetting:-msup(Typesetting:-mi(the eqn becomes Typesetting:-mrow(Typesetting:-mfrac(Typesetting:-mrow(Typesetting:-msup(Typesetting:-mi( 

 

 

First create the power series solution 

Typesetting:-mrow(Typesetting:-mi( 

To calculate the derivative of Y(x) 

Typesetting:-mrow(Typesetting:-mi( 

proc (powparm) local nn, t1; option `Copyright (c) 1990 by the University of Waterloo. All rights reserved.`; table( [( _k ) = `*`(`+`(_k, 1), `*`(Ys(`+`(_k, 1)))) ] ) if type(powparm, integer) then `... (3.1.4.1)
 

Typesetting:-mrow(Typesetting:-mi( 

proc (powparm) local nn, t1; option `Copyright (c) 1990 by the University of Waterloo. All rights reserved.`; table( [( _k ) = `*`(`+`(_k, 1), `*`(dy(`+`(_k, 1)))) ] ) if type(powparm, integer) then `... (3.1.4.2)
 

converting the coefficients into power series 

 

Typesetting:-mrow(Typesetting:-mi( 

Typesetting:-mrow(Typesetting:-mi( 

Combining these series as defined by the equation 

Typesetting:-mrow(Typesetting:-mi( 

Typesetting:-mrow(Typesetting:-mi( 

series(`+`(`+`(`*`(2, `*`(a[2])), `-`(a[1]), `-`(`*`(5, `*`(a[0])))), `*`(`+`(`*`(6, `*`(a[3])), `-`(`*`(2, `*`(a[2]))), `-`(`*`(4, `*`(a[1]))), `*`(2, `*`(a[0]))), `*`(x)), `*`(`+`(`*`(12, `*`(a[4]))...
series(`+`(`+`(`*`(2, `*`(a[2])), `-`(a[1]), `-`(`*`(5, `*`(a[0])))), `*`(`+`(`*`(6, `*`(a[3])), `-`(`*`(2, `*`(a[2]))), `-`(`*`(4, `*`(a[1]))), `*`(2, `*`(a[0]))), `*`(x)), `*`(`+`(`*`(12, `*`(a[4]))...
series(`+`(`+`(`*`(2, `*`(a[2])), `-`(a[1]), `-`(`*`(5, `*`(a[0])))), `*`(`+`(`*`(6, `*`(a[3])), `-`(`*`(2, `*`(a[2]))), `-`(`*`(4, `*`(a[1]))), `*`(2, `*`(a[0]))), `*`(x)), `*`(`+`(`*`(12, `*`(a[4]))...
(3.1.4.3)
 

Using the op command to identify the coefficients , setting them equal to zero, and solving for them in terms of a[0] and a[1] 

Typesetting:-mrow(Typesetting:-mi( 

{a[6] = `+`(`-`(`*`(`/`(7, 180), `*`(a[1]))), `-`(`*`(`/`(1, 60), `*`(a[0])))), a[5] = `+`(`*`(`/`(1, 15), `*`(a[1])), `-`(`*`(`/`(1, 20), `*`(a[0])))), a[4] = `+`(`*`(`/`(1, 6), `*`(a[1])), `*`(`/`(3...
{a[6] = `+`(`-`(`*`(`/`(7, 180), `*`(a[1]))), `-`(`*`(`/`(1, 60), `*`(a[0])))), a[5] = `+`(`*`(`/`(1, 15), `*`(a[1])), `-`(`*`(`/`(1, 20), `*`(a[0])))), a[4] = `+`(`*`(`/`(1, 6), `*`(a[1])), `*`(`/`(3...
(3.1.4.4)
 

Substituting the coeff into Y(x) and converting the solution into a polynomial  

Typesetting:-mrow(Typesetting:-mi( 

`+`(`*`(`+`(1, `*`(`/`(5, 2), `*`(`^`(t, 2))), `*`(`/`(1, 2), `*`(`^`(t, 3))), `*`(`/`(3, 4), `*`(`^`(t, 4))), `-`(`*`(`/`(1, 20), `*`(`^`(t, 5)))), `-`(`*`(`/`(1, 60), `*`(`^`(t, 6)))), `-`(`*`(`/`(4...
`+`(`*`(`+`(1, `*`(`/`(5, 2), `*`(`^`(t, 2))), `*`(`/`(1, 2), `*`(`^`(t, 3))), `*`(`/`(3, 4), `*`(`^`(t, 4))), `-`(`*`(`/`(1, 20), `*`(`^`(t, 5)))), `-`(`*`(`/`(1, 60), `*`(`^`(t, 6)))), `-`(`*`(`/`(4...
(3.1.4.5)
 

Substituting that t = x+1 we obtain the solution to the original problem 

 

Typesetting:-mrow(Typesetting:-mi( 

`+`(`*`(`+`(1, `*`(`/`(5, 2), `*`(`^`(`+`(x, 1), 2))), `*`(`/`(1, 2), `*`(`^`(`+`(x, 1), 3))), `*`(`/`(3, 4), `*`(`^`(`+`(x, 1), 4))), `-`(`*`(`/`(1, 20), `*`(`^`(`+`(x, 1), 5)))), `-`(`*`(`/`(1, 60),...
`+`(`*`(`+`(1, `*`(`/`(5, 2), `*`(`^`(`+`(x, 1), 2))), `*`(`/`(1, 2), `*`(`^`(`+`(x, 1), 3))), `*`(`/`(3, 4), `*`(`^`(`+`(x, 1), 4))), `-`(`*`(`/`(1, 20), `*`(`^`(`+`(x, 1), 5)))), `-`(`*`(`/`(1, 60),...
`+`(`*`(`+`(1, `*`(`/`(5, 2), `*`(`^`(`+`(x, 1), 2))), `*`(`/`(1, 2), `*`(`^`(`+`(x, 1), 3))), `*`(`/`(3, 4), `*`(`^`(`+`(x, 1), 4))), `-`(`*`(`/`(1, 20), `*`(`^`(`+`(x, 1), 5)))), `-`(`*`(`/`(1, 60),...
(3.1.4.6)
 

Again since this eqn has NO singular points this solution is valid for all values of x. 

Given initial conditions we could then proceed to determine the values for Typesetting:-mrow(Typesetting:-msub(Typesetting:-mi( and  Typesetting:-mrow(Typesetting:-msub(Typesetting:-mi( 

Suppose that y(-1) = 2 and y'(-1) = -2   

 

Typesetting:-mrow(Typesetting:-mi( 

{a[0] = 2, a[1] = -2} (3.1.4.7)
 

Typesetting:-mrow(Typesetting:-mi( 

`+`(`*`(4, `*`(`^`(`+`(x, 1), 2))), `-`(`*`(`/`(2, 3), `*`(`^`(`+`(x, 1), 3)))), `*`(`/`(7, 6), `*`(`^`(`+`(x, 1), 4))), `-`(`*`(`/`(7, 30), `*`(`^`(`+`(x, 1), 5)))), `*`(`/`(2, 45), `*`(`^`(`+`(x, 1)... (3.1.4.8)
 

Typesetting:-mrow(Typesetting:-mi( 

Plot_2d
 

Using Maple's dsolve command. 

 

Typesetting:-mrow(Typesetting:-mi( 

Typesetting:-mrow(Typesetting:-mi( 

y(x) = series(`+`(2, `-`(`*`(2, `*`(`+`(x, 1)))), `*`(4, `*`(`^`(`+`(x, 1), 2))), `-`(`*`(`/`(2, 3), `*`(`^`(`+`(x, 1), 3)))), `*`(`/`(7, 6), `*`(`^`(`+`(x, 1), 4))), `-`(`*`(`/`(7, 30), `*`(`^`(`+`(x...
y(x) = series(`+`(2, `-`(`*`(2, `*`(`+`(x, 1)))), `*`(4, `*`(`^`(`+`(x, 1), 2))), `-`(`*`(`/`(2, 3), `*`(`^`(`+`(x, 1), 3)))), `*`(`/`(7, 6), `*`(`^`(`+`(x, 1), 4))), `-`(`*`(`/`(7, 30), `*`(`^`(`+`(x...
(3.1.4.9)
 

 

 

 

 

 

Solutions about a regular singular point  --- Method of Frobenius. 

 

Definition 3.  If Typesetting:-mrow(Typesetting:-msub(Typesetting:-mi( is a regular singular point of y'' + p(x) y' +q(x) y = 0, then the indicial equation for this point is  

 

                                              Typesetting:-mrow(Typesetting:-mi(   

 

                   where  Typesetting:-mrow(Typesetting:-msub(Typesetting:-mi(and   Typesetting:-mrow(Typesetting:-msub(Typesetting:-mi(   

 

                   The roots of the indicial equation are called the exponents(indices) of the singularity Typesetting:-mrow(Typesetting:-msub(Typesetting:-mi(  

 

 

Frobenius method  of solving ordinary differential equations near a regular singular point, Typesetting:-mrow(Typesetting:-msub(Typesetting:-mi(, by positing a solution of the form  

Typesetting:-mrow(Typesetting:-mo( 

 

 the values of r and the coefficients Typesetting:-mrow(Typesetting:-msub(Typesetting:-mi( are then found by iteration by substituting the potential solution into the equation. 

 

NOTE  The first step in this method is to find the roots Typesetting:-mrow(Typesetting:-msub(Typesetting:-mi( and Typesetting:-mrow(Typesetting:-msub(Typesetting:-mi( (Re Typesetting:-mrow(Typesetting:-msub(Typesetting:-mi() of the indicial equation.  Then utilizing the larger root Frobenius's theorem assures us that our deq has a series solution of the form above and that this series converges for all x such that  Typesetting:-mrow(Typesetting:-mn(where R is the distance from Typesetting:-mrow(Typesetting:-msub(Typesetting:-mi( to the nearest other singular point (real or complex).  

           

          If  Typesetting:-mrow(Typesetting:-msub(Typesetting:-mi( is not an integer, then there exist two linearly independent solutions of the form  

                                        Typesetting:-mrow(Typesetting:-msub(Typesetting:-mi( 

                                        Typesetting:-mrow(Typesetting:-msub(Typesetting:-mi( 

         If  Typesetting:-mrow(Typesetting:-msub(Typesetting:-mi(then there exist two linearly independent solutions of the form 

                                        Typesetting:-mrow(Typesetting:-msub(Typesetting:-mi( 

                                         Typesetting:-mrow(Typesetting:-msub(Typesetting:-mi( 

 

        If  Typesetting:-mrow(Typesetting:-msub(Typesetting:-mi( is a positive integer, then there exist two linearly independent solutions  of the form 

                                          Typesetting:-mrow(Typesetting:-msub(Typesetting:-mi( 

                                          Typesetting:-mrow(Typesetting:-msub(Typesetting:-mi(where C is a constant that could be zero. 

 

Example 1.   Find a series solution for the differential equation Typesetting:-mrow(Typesetting:-mfenced(Typesetting:-mrow(Typesetting:-mi(   

 

Now x = 0 and x = -2 are both singular points for this deq. 

Also x = 0 is a regular singular point since Typesetting:-mrow(Typesetting:-mi(and Typesetting:-mrow(Typesetting:-msup(Typesetting:-mi( are analytic at Typesetting:-mrow(Typesetting:-mi( 

 

We are looking for a solution of the form Typesetting:-mrow(Typesetting:-msup(Typesetting:-mi( 

Step 1.  Define our deq 

 

Typesetting:-mrow(Typesetting:-mi( 

`+`(`*`(`+`(x, 2), `*`(`^`(x, 2), `*`(diff(diff(y(x), x), x)))), `-`(`*`(x, `*`(diff(y(x), x)))), `*`(`+`(1, x), `*`(y(x)))) = 0 (3.2.1.1)
 

 

 

Step 2.  Define our series solution 

Typesetting:-mrow(Typesetting:-mi( 

`*`(`^`(x, r), `*`(series(`+`(y1(0), `*`((D(y1))(0), `*`(x)), `*`(`*`(`/`(1, 2), `*`(((`@@`(D, 2))(y1))(0))), `*`(`^`(x, 2))), `*`(`*`(`/`(1, 6), `*`(((`@@`(D, 3))(y1))(0))), `*`(`^`(x, 3))), `*`(`*`(...
`*`(`^`(x, r), `*`(series(`+`(y1(0), `*`((D(y1))(0), `*`(x)), `*`(`*`(`/`(1, 2), `*`(((`@@`(D, 2))(y1))(0))), `*`(`^`(x, 2))), `*`(`*`(`/`(1, 6), `*`(((`@@`(D, 3))(y1))(0))), `*`(`^`(x, 3))), `*`(`*`(...
(3.2.1.2)
 

Typesetting:-mrow(Typesetting:-mi( 

`+`(`*`(`^`(x, r), `*`(y1(0))), `*`(`^`(x, r), `*`((D(y1))(0), `*`(x))), `*`(`/`(1, 2), `*`(`^`(x, r), `*`(((`@@`(D, 2))(y1))(0), `*`(`^`(x, 2))))), `*`(`/`(1, 6), `*`(`^`(x, r), `*`(((`@@`(D, 3))(y1)...
`+`(`*`(`^`(x, r), `*`(y1(0))), `*`(`^`(x, r), `*`((D(y1))(0), `*`(x))), `*`(`/`(1, 2), `*`(`^`(x, r), `*`(((`@@`(D, 2))(y1))(0), `*`(`^`(x, 2))))), `*`(`/`(1, 6), `*`(`^`(x, r), `*`(((`@@`(D, 3))(y1)...
(3.2.1.3)
 

 

Step 3.  Substitute our series into the deq. 

 

 

Typesetting:-mrow(Typesetting:-mi( 

`+`(`*`(`+`(x, 2), `*`(`^`(x, 2), `*`(`+`(`*`(`/`(1, 120), `*`(`^`(x, r), `*`(((`@@`(D, 7))(y1))(0), `*`(`^`(x, 5))))), `*`(`/`(1, 24), `*`(`^`(x, r), `*`(((`@@`(D, 6))(y1))(0), `*`(`^`(x, 4))))), `*`...
`+`(`*`(`+`(x, 2), `*`(`^`(x, 2), `*`(`+`(`*`(`/`(1, 120), `*`(`^`(x, r), `*`(((`@@`(D, 7))(y1))(0), `*`(`^`(x, 5))))), `*`(`/`(1, 24), `*`(`^`(x, r), `*`(((`@@`(D, 6))(y1))(0), `*`(`^`(x, 4))))), `*`...
`+`(`*`(`+`(x, 2), `*`(`^`(x, 2), `*`(`+`(`*`(`/`(1, 120), `*`(`^`(x, r), `*`(((`@@`(D, 7))(y1))(0), `*`(`^`(x, 5))))), `*`(`/`(1, 24), `*`(`^`(x, r), `*`(((`@@`(D, 6))(y1))(0), `*`(`^`(x, 4))))), `*`...
`+`(`*`(`+`(x, 2), `*`(`^`(x, 2), `*`(`+`(`*`(`/`(1, 120), `*`(`^`(x, r), `*`(((`@@`(D, 7))(y1))(0), `*`(`^`(x, 5))))), `*`(`/`(1, 24), `*`(`^`(x, r), `*`(((`@@`(D, 6))(y1))(0), `*`(`^`(x, 4))))), `*`...
`+`(`*`(`+`(x, 2), `*`(`^`(x, 2), `*`(`+`(`*`(`/`(1, 120), `*`(`^`(x, r), `*`(((`@@`(D, 7))(y1))(0), `*`(`^`(x, 5))))), `*`(`/`(1, 24), `*`(`^`(x, r), `*`(((`@@`(D, 6))(y1))(0), `*`(`^`(x, 4))))), `*`...
`+`(`*`(`+`(x, 2), `*`(`^`(x, 2), `*`(`+`(`*`(`/`(1, 120), `*`(`^`(x, r), `*`(((`@@`(D, 7))(y1))(0), `*`(`^`(x, 5))))), `*`(`/`(1, 24), `*`(`^`(x, r), `*`(((`@@`(D, 6))(y1))(0), `*`(`^`(x, 4))))), `*`...
`+`(`*`(`+`(x, 2), `*`(`^`(x, 2), `*`(`+`(`*`(`/`(1, 120), `*`(`^`(x, r), `*`(((`@@`(D, 7))(y1))(0), `*`(`^`(x, 5))))), `*`(`/`(1, 24), `*`(`^`(x, r), `*`(((`@@`(D, 6))(y1))(0), `*`(`^`(x, 4))))), `*`...
`+`(`*`(`+`(x, 2), `*`(`^`(x, 2), `*`(`+`(`*`(`/`(1, 120), `*`(`^`(x, r), `*`(((`@@`(D, 7))(y1))(0), `*`(`^`(x, 5))))), `*`(`/`(1, 24), `*`(`^`(x, r), `*`(((`@@`(D, 6))(y1))(0), `*`(`^`(x, 4))))), `*`...
`+`(`*`(`+`(x, 2), `*`(`^`(x, 2), `*`(`+`(`*`(`/`(1, 120), `*`(`^`(x, r), `*`(((`@@`(D, 7))(y1))(0), `*`(`^`(x, 5))))), `*`(`/`(1, 24), `*`(`^`(x, r), `*`(((`@@`(D, 6))(y1))(0), `*`(`^`(x, 4))))), `*`...
`+`(`*`(`+`(x, 2), `*`(`^`(x, 2), `*`(`+`(`*`(`/`(1, 120), `*`(`^`(x, r), `*`(((`@@`(D, 7))(y1))(0), `*`(`^`(x, 5))))), `*`(`/`(1, 24), `*`(`^`(x, r), `*`(((`@@`(D, 6))(y1))(0), `*`(`^`(x, 4))))), `*`...
`+`(`*`(`+`(x, 2), `*`(`^`(x, 2), `*`(`+`(`*`(`/`(1, 120), `*`(`^`(x, r), `*`(((`@@`(D, 7))(y1))(0), `*`(`^`(x, 5))))), `*`(`/`(1, 24), `*`(`^`(x, r), `*`(((`@@`(D, 6))(y1))(0), `*`(`^`(x, 4))))), `*`...
`+`(`*`(`+`(x, 2), `*`(`^`(x, 2), `*`(`+`(`*`(`/`(1, 120), `*`(`^`(x, r), `*`(((`@@`(D, 7))(y1))(0), `*`(`^`(x, 5))))), `*`(`/`(1, 24), `*`(`^`(x, r), `*`(((`@@`(D, 6))(y1))(0), `*`(`^`(x, 4))))), `*`...
(3.2.1.4)
 

 

Typesetting:-mrow(Typesetting:-mi( 

`+`(`*`(`/`(1, 60), `*`(`^`(x, `+`(5, r)), `*`(`^`(r, 2), `*`(((`@@`(D, 5))(y1))(0))))), `*`(`/`(1, 40320), `*`(`^`(x, `+`(9, r)), `*`(`^`(r, 2), `*`(((`@@`(D, 8))(y1))(0))))), `*`(`/`(31, 720), `*`(`...
`+`(`*`(`/`(1, 60), `*`(`^`(x, `+`(5, r)), `*`(`^`(r, 2), `*`(((`@@`(D, 5))(y1))(0))))), `*`(`/`(1, 40320), `*`(`^`(x, `+`(9, r)), `*`(`^`(r, 2), `*`(((`@@`(D, 8))(y1))(0))))), `*`(`/`(31, 720), `*`(`...
`+`(`*`(`/`(1, 60), `*`(`^`(x, `+`(5, r)), `*`(`^`(r, 2), `*`(((`@@`(D, 5))(y1))(0))))), `*`(`/`(1, 40320), `*`(`^`(x, `+`(9, r)), `*`(`^`(r, 2), `*`(((`@@`(D, 8))(y1))(0))))), `*`(`/`(31, 720), `*`(`...
`+`(`*`(`/`(1, 60), `*`(`^`(x, `+`(5, r)), `*`(`^`(r, 2), `*`(((`@@`(D, 5))(y1))(0))))), `*`(`/`(1, 40320), `*`(`^`(x, `+`(9, r)), `*`(`^`(r, 2), `*`(((`@@`(D, 8))(y1))(0))))), `*`(`/`(31, 720), `*`(`...
`+`(`*`(`/`(1, 60), `*`(`^`(x, `+`(5, r)), `*`(`^`(r, 2), `*`(((`@@`(D, 5))(y1))(0))))), `*`(`/`(1, 40320), `*`(`^`(x, `+`(9, r)), `*`(`^`(r, 2), `*`(((`@@`(D, 8))(y1))(0))))), `*`(`/`(31, 720), `*`(`...
`+`(`*`(`/`(1, 60), `*`(`^`(x, `+`(5, r)), `*`(`^`(r, 2), `*`(((`@@`(D, 5))(y1))(0))))), `*`(`/`(1, 40320), `*`(`^`(x, `+`(9, r)), `*`(`^`(r, 2), `*`(((`@@`(D, 8))(y1))(0))))), `*`(`/`(31, 720), `*`(`...
`+`(`*`(`/`(1, 60), `*`(`^`(x, `+`(5, r)), `*`(`^`(r, 2), `*`(((`@@`(D, 5))(y1))(0))))), `*`(`/`(1, 40320), `*`(`^`(x, `+`(9, r)), `*`(`^`(r, 2), `*`(((`@@`(D, 8))(y1))(0))))), `*`(`/`(31, 720), `*`(`...
`+`(`*`(`/`(1, 60), `*`(`^`(x, `+`(5, r)), `*`(`^`(r, 2), `*`(((`@@`(D, 5))(y1))(0))))), `*`(`/`(1, 40320), `*`(`^`(x, `+`(9, r)), `*`(`^`(r, 2), `*`(((`@@`(D, 8))(y1))(0))))), `*`(`/`(31, 720), `*`(`...
`+`(`*`(`/`(1, 60), `*`(`^`(x, `+`(5, r)), `*`(`^`(r, 2), `*`(((`@@`(D, 5))(y1))(0))))), `*`(`/`(1, 40320), `*`(`^`(x, `+`(9, r)), `*`(`^`(r, 2), `*`(((`@@`(D, 8))(y1))(0))))), `*`(`/`(31, 720), `*`(`...
`+`(`*`(`/`(1, 60), `*`(`^`(x, `+`(5, r)), `*`(`^`(r, 2), `*`(((`@@`(D, 5))(y1))(0))))), `*`(`/`(1, 40320), `*`(`^`(x, `+`(9, r)), `*`(`^`(r, 2), `*`(((`@@`(D, 8))(y1))(0))))), `*`(`/`(31, 720), `*`(`...
`+`(`*`(`/`(1, 60), `*`(`^`(x, `+`(5, r)), `*`(`^`(r, 2), `*`(((`@@`(D, 5))(y1))(0))))), `*`(`/`(1, 40320), `*`(`^`(x, `+`(9, r)), `*`(`^`(r, 2), `*`(((`@@`(D, 8))(y1))(0))))), `*`(`/`(31, 720), `*`(`...
`+`(`*`(`/`(1, 60), `*`(`^`(x, `+`(5, r)), `*`(`^`(r, 2), `*`(((`@@`(D, 5))(y1))(0))))), `*`(`/`(1, 40320), `*`(`^`(x, `+`(9, r)), `*`(`^`(r, 2), `*`(((`@@`(D, 8))(y1))(0))))), `*`(`/`(31, 720), `*`(`...
(3.2.1.5)
 

 

Step 4. Determine the coefficient of the  term Typesetting:-mrow(Typesetting:-msup(Typesetting:-mi(  (  it in effect is the indicial eqn needed to determine the values of r in Frobenius' method ) 

 

Typesetting:-mrow(Typesetting:-mi( 

`*`(y1(0), `*`(`+`(`*`(2, `*`(r)), `-`(1)), `*`(`+`(r, `-`(1))))) (3.2.1.6)
 

From the above we see that r = 1  or  r  =  1/2 

Step 5.  We  use the larger value of r = 1 first.  We now substitute  that  y1(0) = a ,  D(y1)(0) = b  and r =1  into the coefficients of  the lhs our eqn1  

 

Typesetting:-mrow(Typesetting:-mi( 

[0, `+`(`*`(3, `*`(b)), a), `+`(`*`(5, `*`(((`@@`(D, 2))(y1))(0))), `*`(3, `*`(b))), `+`(`*`(`/`(7, 2), `*`(((`@@`(D, 3))(y1))(0))), `*`(`/`(7, 2), `*`(((`@@`(D, 2))(y1))(0)))), `+`(`*`(`/`(3, 2), `*`...
[0, `+`(`*`(3, `*`(b)), a), `+`(`*`(5, `*`(((`@@`(D, 2))(y1))(0))), `*`(3, `*`(b))), `+`(`*`(`/`(7, 2), `*`(((`@@`(D, 3))(y1))(0))), `*`(`/`(7, 2), `*`(((`@@`(D, 2))(y1))(0)))), `+`(`*`(`/`(3, 2), `*`...
(3.2.1.7)
 

 

We now want to solve the above coefficients = 0  for the values of the derivatives in each of themTo do this we must drop the first and 2nd items.  NOTE :  the 2nd  item   a + 3b =0  says that  b = -1/3 a 

Typesetting:-mrow(Typesetting:-mi( 

{((`@@`(D, 5))(y1))(0) = `+`(`*`(`/`(91, 55), `*`(b))), ((`@@`(D, 3))(y1))(0) = `+`(`*`(`/`(3, 5), `*`(b))), ((`@@`(D, 4))(y1))(0) = `+`(`-`(`*`(`/`(13, 15), `*`(b)))), ((`@@`(D, 2))(y1))(0) = `+`(`-`...
{((`@@`(D, 5))(y1))(0) = `+`(`*`(`/`(91, 55), `*`(b))), ((`@@`(D, 3))(y1))(0) = `+`(`*`(`/`(3, 5), `*`(b))), ((`@@`(D, 4))(y1))(0) = `+`(`-`(`*`(`/`(13, 15), `*`(b)))), ((`@@`(D, 2))(y1))(0) = `+`(`-`...
(3.2.1.8)
 

Typesetting:-mrow(Typesetting:-mi( 

{((`@@`(D, 5))(y1))(0) = `+`(`-`(`*`(`/`(91, 165), `*`(a)))), ((`@@`(D, 3))(y1))(0) = `+`(`-`(`*`(`/`(1, 5), `*`(a)))), ((`@@`(D, 4))(y1))(0) = `+`(`*`(`/`(13, 45), `*`(a))), ((`@@`(D, 2))(y1))(0) = `...
{((`@@`(D, 5))(y1))(0) = `+`(`-`(`*`(`/`(91, 165), `*`(a)))), ((`@@`(D, 3))(y1))(0) = `+`(`-`(`*`(`/`(1, 5), `*`(a)))), ((`@@`(D, 4))(y1))(0) = `+`(`*`(`/`(13, 45), `*`(a))), ((`@@`(D, 2))(y1))(0) = `...
(3.2.1.9)
 

 

 

 

Step 6. Substitute these values into slna minus the last three terms since we have not calculated their correct coefficients 

 

Typesetting:-mrow(Typesetting:-mi( 

`*`(`+`(x, `-`(`*`(`/`(1, 3), `*`(`^`(x, 2)))), `*`(`/`(1, 10), `*`(`^`(x, 3))), `-`(`*`(`/`(1, 30), `*`(`^`(x, 4)))), `*`(`/`(13, 1080), `*`(`^`(x, 5))), `-`(`*`(`/`(91, 19800), `*`(`^`(x, 6)))), `*`... (3.2.1.10)
 

 

It may be possible to obtain the second independent series solution by repeating the above using the other value of r  ( This will work in this example since the two r values  do not differ by an integer). 

 

Typesetting:-mrow(Typesetting:-mi( 

[0, `+`(`*`(`/`(3, 4), `*`(a)), b), `+`(`*`(3, `*`(((`@@`(D, 2))(y1))(0))), `*`(`/`(7, 4), `*`(b))), `+`(`*`(`/`(5, 2), `*`(((`@@`(D, 3))(y1))(0))), `*`(`/`(19, 8), `*`(((`@@`(D, 2))(y1))(0)))), `+`(`...
[0, `+`(`*`(`/`(3, 4), `*`(a)), b), `+`(`*`(3, `*`(((`@@`(D, 2))(y1))(0))), `*`(`/`(7, 4), `*`(b))), `+`(`*`(`/`(5, 2), `*`(((`@@`(D, 3))(y1))(0))), `*`(`/`(19, 8), `*`(((`@@`(D, 2))(y1))(0)))), `+`(`...
[0, `+`(`*`(`/`(3, 4), `*`(a)), b), `+`(`*`(3, `*`(((`@@`(D, 2))(y1))(0))), `*`(`/`(7, 4), `*`(b))), `+`(`*`(`/`(5, 2), `*`(((`@@`(D, 3))(y1))(0))), `*`(`/`(19, 8), `*`(((`@@`(D, 2))(y1))(0)))), `+`(`...
(3.2.1.11)
 

We now want to solve the above coefficients = 0  for the values of the derivatives in each of themTo do this we must drop the first and 2nd items.  NOTE :  2nd item  says    b=-3/4a 

Typesetting:-mrow(Typesetting:-mi( 

{((`@@`(D, 4))(y1))(0) = `+`(`-`(`*`(`/`(247, 320), `*`(b)))), ((`@@`(D, 5))(y1))(0) = `+`(`*`(`/`(16549, 11520), `*`(b))), ((`@@`(D, 2))(y1))(0) = `+`(`-`(`*`(`/`(7, 12), `*`(b)))), ((`@@`(D, 3))(y1)...
{((`@@`(D, 4))(y1))(0) = `+`(`-`(`*`(`/`(247, 320), `*`(b)))), ((`@@`(D, 5))(y1))(0) = `+`(`*`(`/`(16549, 11520), `*`(b))), ((`@@`(D, 2))(y1))(0) = `+`(`-`(`*`(`/`(7, 12), `*`(b)))), ((`@@`(D, 3))(y1)...
(3.2.1.12)
 

Typesetting:-mrow(Typesetting:-mi( 

{((`@@`(D, 4))(y1))(0) = `+`(`*`(`/`(741, 1280), `*`(a))), ((`@@`(D, 8))(y1))(0) = `+`(`*`(`/`(1278541369, 54067200), `*`(a))), ((`@@`(D, 7))(y1))(0) = `+`(`-`(`*`(`/`(6424831, 901120), `*`(a)))), ((`...
{((`@@`(D, 4))(y1))(0) = `+`(`*`(`/`(741, 1280), `*`(a))), ((`@@`(D, 8))(y1))(0) = `+`(`*`(`/`(1278541369, 54067200), `*`(a))), ((`@@`(D, 7))(y1))(0) = `+`(`-`(`*`(`/`(6424831, 901120), `*`(a)))), ((`...
(3.2.1.13)
 

 

Finally we substitute these values into slna minus the last three terms since we have not calculated their correct coefficients 

 

Typesetting:-mrow(Typesetting:-mi( 

`*`(`+`(`*`(`^`(x, `/`(1, 2))), `-`(`*`(`/`(3, 4), `*`(`^`(x, `/`(3, 2))))), `*`(`/`(7, 32), `*`(`^`(x, `/`(5, 2)))), `-`(`*`(`/`(133, 1920), `*`(`^`(x, `/`(7, 2))))), `*`(`/`(247, 10240), `*`(`^`(x, ... (3.2.1.14)
 

 

Hence the general solution to the given differential equation will be   

 

Typesetting:-mrow(Typesetting:-mi( 

`+`(`*`(`+`(x, `-`(`*`(`/`(1, 3), `*`(`^`(x, 2)))), `*`(`/`(1, 10), `*`(`^`(x, 3))), `-`(`*`(`/`(1, 30), `*`(`^`(x, 4)))), `*`(`/`(13, 1080), `*`(`^`(x, 5))), `-`(`*`(`/`(91, 19800), `*`(`^`(x, 6)))),...
`+`(`*`(`+`(x, `-`(`*`(`/`(1, 3), `*`(`^`(x, 2)))), `*`(`/`(1, 10), `*`(`^`(x, 3))), `-`(`*`(`/`(1, 30), `*`(`^`(x, 4)))), `*`(`/`(13, 1080), `*`(`^`(x, 5))), `-`(`*`(`/`(91, 19800), `*`(`^`(x, 6)))),...
(3.2.1.15)
 

 

MAPLE dsolve solution  

 

Typesetting:-mrow(Typesetting:-mi( 

10 (3.2.1.16)
 

Typesetting:-mrow(Typesetting:-mi( 

y(x) = `+`(`*`(_C1, `*`(`^`(x, `/`(1, 2)), `*`(series(`+`(1, `-`(`*`(`/`(3, 4), `*`(x))), `*`(`/`(7, 32), `*`(`^`(x, 2))), `-`(`*`(`/`(133, 1920), `*`(`^`(x, 3)))), `*`(`/`(247, 10240), `*`(`^`(x, 4))...
y(x) = `+`(`*`(_C1, `*`(`^`(x, `/`(1, 2)), `*`(series(`+`(1, `-`(`*`(`/`(3, 4), `*`(x))), `*`(`/`(7, 32), `*`(`^`(x, 2))), `-`(`*`(`/`(133, 1920), `*`(`^`(x, 3)))), `*`(`/`(247, 10240), `*`(`^`(x, 4))...
y(x) = `+`(`*`(_C1, `*`(`^`(x, `/`(1, 2)), `*`(series(`+`(1, `-`(`*`(`/`(3, 4), `*`(x))), `*`(`/`(7, 32), `*`(`^`(x, 2))), `-`(`*`(`/`(133, 1920), `*`(`^`(x, 3)))), `*`(`/`(247, 10240), `*`(`^`(x, 4))...
(3.2.1.17)
 

 

 

Example 2. Find a series solution for the differential equation Typesetting:-mrow(Typesetting:-msup(Typesetting:-mi(about the point x = 0 

 

 

x = 0 is a regular singular point for this deq. 

 

Typesetting:-mrow(Typesetting:-mi( 

`+`(`*`(`^`(x, 2), `*`(diff(diff(y(x), x), x))), `-`(`*`(x, `*`(diff(y(x), x)))), `*`(`+`(1, `-`(x)), `*`(y(x)))) = 0 (3.2.2.1)
 

Typesetting:-mrow(Typesetting:-mi( 

`*`(`^`(x, r), `*`(series(`+`(y1(0), `*`((D(y1))(0), `*`(x)), `*`(`*`(`/`(1, 2), `*`(((`@@`(D, 2))(y1))(0))), `*`(`^`(x, 2))), `*`(`*`(`/`(1, 6), `*`(((`@@`(D, 3))(y1))(0))), `*`(`^`(x, 3))), `*`(`*`(...
`*`(`^`(x, r), `*`(series(`+`(y1(0), `*`((D(y1))(0), `*`(x)), `*`(`*`(`/`(1, 2), `*`(((`@@`(D, 2))(y1))(0))), `*`(`^`(x, 2))), `*`(`*`(`/`(1, 6), `*`(((`@@`(D, 3))(y1))(0))), `*`(`^`(x, 3))), `*`(`*`(...
(3.2.2.2)
 

Typesetting:-mrow(Typesetting:-mi( 

`+`(`*`(`^`(x, r), `*`(y1(0))), `*`(`^`(x, r), `*`((D(y1))(0), `*`(x))), `*`(`/`(1, 2), `*`(`^`(x, r), `*`(((`@@`(D, 2))(y1))(0), `*`(`^`(x, 2))))), `*`(`/`(1, 6), `*`(`^`(x, r), `*`(((`@@`(D, 3))(y1)...
`+`(`*`(`^`(x, r), `*`(y1(0))), `*`(`^`(x, r), `*`((D(y1))(0), `*`(x))), `*`(`/`(1, 2), `*`(`^`(x, r), `*`(((`@@`(D, 2))(y1))(0), `*`(`^`(x, 2))))), `*`(`/`(1, 6), `*`(`^`(x, r), `*`(((`@@`(D, 3))(y1)...
(3.2.2.3)
 

 

Typesetting:-mrow(Typesetting:-mi( 

`+`(`*`(`^`(x, `+`(r, 2)), `*`(r, `*`(((`@@`(D, 2))(y1))(0)))), `*`(`/`(1, 4), `*`(`^`(x, `+`(r, 4)), `*`(r, `*`(((`@@`(D, 4))(y1))(0))))), `*`(`^`(x, r), `*`(y1(0))), `*`(`/`(1, 15), `*`(`^`(x, `+`(r...
`+`(`*`(`^`(x, `+`(r, 2)), `*`(r, `*`(((`@@`(D, 2))(y1))(0)))), `*`(`/`(1, 4), `*`(`^`(x, `+`(r, 4)), `*`(r, `*`(((`@@`(D, 4))(y1))(0))))), `*`(`^`(x, r), `*`(y1(0))), `*`(`/`(1, 15), `*`(`^`(x, `+`(r...
`+`(`*`(`^`(x, `+`(r, 2)), `*`(r, `*`(((`@@`(D, 2))(y1))(0)))), `*`(`/`(1, 4), `*`(`^`(x, `+`(r, 4)), `*`(r, `*`(((`@@`(D, 4))(y1))(0))))), `*`(`^`(x, r), `*`(y1(0))), `*`(`/`(1, 15), `*`(`^`(x, `+`(r...
`+`(`*`(`^`(x, `+`(r, 2)), `*`(r, `*`(((`@@`(D, 2))(y1))(0)))), `*`(`/`(1, 4), `*`(`^`(x, `+`(r, 4)), `*`(r, `*`(((`@@`(D, 4))(y1))(0))))), `*`(`^`(x, r), `*`(y1(0))), `*`(`/`(1, 15), `*`(`^`(x, `+`(r...
`+`(`*`(`^`(x, `+`(r, 2)), `*`(r, `*`(((`@@`(D, 2))(y1))(0)))), `*`(`/`(1, 4), `*`(`^`(x, `+`(r, 4)), `*`(r, `*`(((`@@`(D, 4))(y1))(0))))), `*`(`^`(x, r), `*`(y1(0))), `*`(`/`(1, 15), `*`(`^`(x, `+`(r...
`+`(`*`(`^`(x, `+`(r, 2)), `*`(r, `*`(((`@@`(D, 2))(y1))(0)))), `*`(`/`(1, 4), `*`(`^`(x, `+`(r, 4)), `*`(r, `*`(((`@@`(D, 4))(y1))(0))))), `*`(`^`(x, r), `*`(y1(0))), `*`(`/`(1, 15), `*`(`^`(x, `+`(r...
`+`(`*`(`^`(x, `+`(r, 2)), `*`(r, `*`(((`@@`(D, 2))(y1))(0)))), `*`(`/`(1, 4), `*`(`^`(x, `+`(r, 4)), `*`(r, `*`(((`@@`(D, 4))(y1))(0))))), `*`(`^`(x, r), `*`(y1(0))), `*`(`/`(1, 15), `*`(`^`(x, `+`(r...
`+`(`*`(`^`(x, `+`(r, 2)), `*`(r, `*`(((`@@`(D, 2))(y1))(0)))), `*`(`/`(1, 4), `*`(`^`(x, `+`(r, 4)), `*`(r, `*`(((`@@`(D, 4))(y1))(0))))), `*`(`^`(x, r), `*`(y1(0))), `*`(`/`(1, 15), `*`(`^`(x, `+`(r...
(3.2.2.4)
 

Typesetting:-mrow(Typesetting:-mi( 

`*`(y1(0), `*`(`^`(`+`(r, `-`(1)), 2))) (3.2.2.5)
 

We see that r = 1 is a double root  and proceed to find the first solution using the  procedures outlined above. 

 

Typesetting:-mrow(Typesetting:-mi( 

[0, `+`(b, `-`(a)), `+`(`*`(2, `*`(((`@@`(D, 2))(y1))(0))), `-`(b)), `+`(`*`(`/`(3, 2), `*`(((`@@`(D, 3))(y1))(0))), `-`(`*`(`/`(1, 2), `*`(((`@@`(D, 2))(y1))(0))))), `+`(`*`(`/`(2, 3), `*`(((`@@`(D, ...
[0, `+`(b, `-`(a)), `+`(`*`(2, `*`(((`@@`(D, 2))(y1))(0))), `-`(b)), `+`(`*`(`/`(3, 2), `*`(((`@@`(D, 3))(y1))(0))), `-`(`*`(`/`(1, 2), `*`(((`@@`(D, 2))(y1))(0))))), `+`(`*`(`/`(2, 3), `*`(((`@@`(D, ...
(3.2.2.6)
 

 

Typesetting:-mrow(Typesetting:-mi( 

{((`@@`(D, 5))(y1))(0) = `+`(`*`(`/`(1, 120), `*`(b))), ((`@@`(D, 3))(y1))(0) = `+`(`*`(`/`(1, 6), `*`(b))), ((`@@`(D, 7))(y1))(0) = `+`(`*`(`/`(1, 5040), `*`(b))), ((`@@`(D, 2))(y1))(0) = `+`(`*`(`/`...
{((`@@`(D, 5))(y1))(0) = `+`(`*`(`/`(1, 120), `*`(b))), ((`@@`(D, 3))(y1))(0) = `+`(`*`(`/`(1, 6), `*`(b))), ((`@@`(D, 7))(y1))(0) = `+`(`*`(`/`(1, 5040), `*`(b))), ((`@@`(D, 2))(y1))(0) = `+`(`*`(`/`...
(3.2.2.7)
 

Typesetting:-mrow(Typesetting:-mi( 

{((`@@`(D, 5))(y1))(0) = `+`(`*`(`/`(1, 120), `*`(a))), ((`@@`(D, 3))(y1))(0) = `+`(`*`(`/`(1, 6), `*`(a))), ((`@@`(D, 7))(y1))(0) = `+`(`*`(`/`(1, 5040), `*`(a))), ((`@@`(D, 2))(y1))(0) = `+`(`*`(`/`...
{((`@@`(D, 5))(y1))(0) = `+`(`*`(`/`(1, 120), `*`(a))), ((`@@`(D, 3))(y1))(0) = `+`(`*`(`/`(1, 6), `*`(a))), ((`@@`(D, 7))(y1))(0) = `+`(`*`(`/`(1, 5040), `*`(a))), ((`@@`(D, 2))(y1))(0) = `+`(`*`(`/`...
(3.2.2.8)
 

Typesetting:-mrow(Typesetting:-mi( 

`*`(`+`(x, `*`(`^`(x, 2)), `*`(`/`(1, 4), `*`(`^`(x, 3))), `*`(`/`(1, 36), `*`(`^`(x, 4))), `*`(`/`(1, 576), `*`(`^`(x, 5))), `*`(`/`(1, 14400), `*`(`^`(x, 6))), `*`(`/`(1, 518400), `*`(`^`(x, 7))), `... (3.2.2.9)
 

 

We now proceed to find the second solution using the fact that it will be of the form   

                           Typesetting:-mrow(Typesetting:-msub(Typesetting:-mi( 

Typesetting:-mrow(Typesetting:-mi( 

`+`(`*`(y1(x), `*`(ln(x))), sum(`*`(b[n], `*`(`^`(x, `+`(n, 1)))), n = 1 .. infinity)) (3.2.2.10)
 

 

Typesetting:-mrow(Typesetting:-mi( 

`+`(`*`(diff(y1(x), x), `*`(ln(x))), `/`(`*`(y1(x)), `*`(x)), sum(`/`(`*`(b[n], `*`(`^`(x, `+`(n, 1)), `*`(`+`(n, 1)))), `*`(x)), n = 1 .. infinity)) (3.2.2.11)
 

Typesetting:-mrow(Typesetting:-mi( 

`+`(`*`(`+`(`*`(`^`(x, 2), `*`(diff(diff(y1(x), x), x))), `-`(`*`(x, `*`(diff(y1(x), x)))), y1(x), `-`(`*`(x, `*`(y1(x))))), `*`(ln(x))), `*`(2, `*`(x, `*`(diff(y1(x), x)))), `-`(`*`(2, `*`(y1(x)))), ...
`+`(`*`(`+`(`*`(`^`(x, 2), `*`(diff(diff(y1(x), x), x))), `-`(`*`(x, `*`(diff(y1(x), x)))), y1(x), `-`(`*`(x, `*`(y1(x))))), `*`(ln(x))), `*`(2, `*`(x, `*`(diff(y1(x), x)))), `-`(`*`(2, `*`(y1(x)))), ...
(3.2.2.12)
 

Since y1(x) is a solution of the deq the factor on ln(x) is zero  (We also convert our series into a finite sum in order to deal with the summations...) 

 

Typesetting:-mrow(Typesetting:-mi(
Typesetting:-mrow(Typesetting:-mi(
 

`+`(`-`(`*`(b[10], `*`(`^`(x, 12)))), `*`(`+`(`*`(100, `*`(b[10])), `-`(b[9])), `*`(`^`(x, 11))), `*`(`+`(`-`(b[8]), `*`(81, `*`(b[9]))), `*`(`^`(x, 10))), `*`(`+`(`*`(64, `*`(b[8])), `*`(`/`(1, 10160...
`+`(`-`(`*`(b[10], `*`(`^`(x, 12)))), `*`(`+`(`*`(100, `*`(b[10])), `-`(b[9])), `*`(`^`(x, 11))), `*`(`+`(`-`(b[8]), `*`(81, `*`(b[9]))), `*`(`^`(x, 10))), `*`(`+`(`*`(64, `*`(b[8])), `*`(`/`(1, 10160...
(3.2.2.13)
 

Typesetting:-mrow(Typesetting:-mi( 

{b[6] = `+`(`-`(`*`(`/`(49, 5184000), `*`(a)))), b[7] = `+`(`-`(`*`(`/`(121, 592704000), `*`(a)))), b[5] = `+`(`-`(`*`(`/`(137, 432000), `*`(a)))), b[4] = `+`(`-`(`*`(`/`(25, 3456), `*`(a)))), b[3] = ... (3.2.2.14)
 

Typesetting:-mrow(Typesetting:-mi( 

`+`(`*`(`+`(`-`(`*`(2, `*`(`^`(x, 2)))), `-`(`*`(`/`(3, 4), `*`(`^`(x, 3)))), `-`(`*`(`/`(11, 108), `*`(`^`(x, 4)))), `-`(`*`(`/`(25, 3456), `*`(`^`(x, 5)))), `-`(`*`(`/`(137, 432000), `*`(`^`(x, 6)))... (3.2.2.15)
 

Typesetting:-mrow(Typesetting:-mi( 

`+`(`*`(`+`(x, `*`(`^`(x, 2)), `*`(`/`(1, 4), `*`(`^`(x, 3))), `*`(`/`(1, 36), `*`(`^`(x, 4))), `*`(`/`(1, 576), `*`(`^`(x, 5))), `*`(`/`(1, 14400), `*`(`^`(x, 6))), `*`(`/`(1, 518400), `*`(`^`(x, 7))...
`+`(`*`(`+`(x, `*`(`^`(x, 2)), `*`(`/`(1, 4), `*`(`^`(x, 3))), `*`(`/`(1, 36), `*`(`^`(x, 4))), `*`(`/`(1, 576), `*`(`^`(x, 5))), `*`(`/`(1, 14400), `*`(`^`(x, 6))), `*`(`/`(1, 518400), `*`(`^`(x, 7))...
`+`(`*`(`+`(x, `*`(`^`(x, 2)), `*`(`/`(1, 4), `*`(`^`(x, 3))), `*`(`/`(1, 36), `*`(`^`(x, 4))), `*`(`/`(1, 576), `*`(`^`(x, 5))), `*`(`/`(1, 14400), `*`(`^`(x, 6))), `*`(`/`(1, 518400), `*`(`^`(x, 7))...
(3.2.2.16)
 

Typesetting:-mrow(Typesetting:-mi( 

`*`(`+`(x, `-`(`*`(`^`(x, 2))), `-`(`*`(`/`(1, 2), `*`(`^`(x, 3)))), `-`(`*`(`/`(2, 27), `*`(`^`(x, 4)))), `-`(`*`(`/`(19, 3456), `*`(`^`(x, 5)))), `-`(`*`(`/`(107, 432000), `*`(`^`(x, 6)))), `-`(`*`(...
`*`(`+`(x, `-`(`*`(`^`(x, 2))), `-`(`*`(`/`(1, 2), `*`(`^`(x, 3)))), `-`(`*`(`/`(2, 27), `*`(`^`(x, 4)))), `-`(`*`(`/`(19, 3456), `*`(`^`(x, 5)))), `-`(`*`(`/`(107, 432000), `*`(`^`(x, 6)))), `-`(`*`(...
(3.2.2.17)
 

Typesetting:-mrow(Typesetting:-mi( 

`+`(`*`(`^`(x, 2), `*`(`+`(`-`(2), `-`(`*`(3, `*`(x))), `-`(`*`(`/`(8, 9), `*`(`^`(x, 2)))), `-`(`*`(`/`(95, 864), `*`(`^`(x, 3)))), `-`(`*`(`/`(107, 14400), `*`(`^`(x, 4)))), `-`(`*`(`/`(91, 288000),...
`+`(`*`(`^`(x, 2), `*`(`+`(`-`(2), `-`(`*`(3, `*`(x))), `-`(`*`(`/`(8, 9), `*`(`^`(x, 2)))), `-`(`*`(`/`(95, 864), `*`(`^`(x, 3)))), `-`(`*`(`/`(107, 14400), `*`(`^`(x, 4)))), `-`(`*`(`/`(91, 288000),...
`+`(`*`(`^`(x, 2), `*`(`+`(`-`(2), `-`(`*`(3, `*`(x))), `-`(`*`(`/`(8, 9), `*`(`^`(x, 2)))), `-`(`*`(`/`(95, 864), `*`(`^`(x, 3)))), `-`(`*`(`/`(107, 14400), `*`(`^`(x, 4)))), `-`(`*`(`/`(91, 288000),...
`+`(`*`(`^`(x, 2), `*`(`+`(`-`(2), `-`(`*`(3, `*`(x))), `-`(`*`(`/`(8, 9), `*`(`^`(x, 2)))), `-`(`*`(`/`(95, 864), `*`(`^`(x, 3)))), `-`(`*`(`/`(107, 14400), `*`(`^`(x, 4)))), `-`(`*`(`/`(91, 288000),...
`+`(`*`(`^`(x, 2), `*`(`+`(`-`(2), `-`(`*`(3, `*`(x))), `-`(`*`(`/`(8, 9), `*`(`^`(x, 2)))), `-`(`*`(`/`(95, 864), `*`(`^`(x, 3)))), `-`(`*`(`/`(107, 14400), `*`(`^`(x, 4)))), `-`(`*`(`/`(91, 288000),...
`+`(`*`(`^`(x, 2), `*`(`+`(`-`(2), `-`(`*`(3, `*`(x))), `-`(`*`(`/`(8, 9), `*`(`^`(x, 2)))), `-`(`*`(`/`(95, 864), `*`(`^`(x, 3)))), `-`(`*`(`/`(107, 14400), `*`(`^`(x, 4)))), `-`(`*`(`/`(91, 288000),...
`+`(`*`(`^`(x, 2), `*`(`+`(`-`(2), `-`(`*`(3, `*`(x))), `-`(`*`(`/`(8, 9), `*`(`^`(x, 2)))), `-`(`*`(`/`(95, 864), `*`(`^`(x, 3)))), `-`(`*`(`/`(107, 14400), `*`(`^`(x, 4)))), `-`(`*`(`/`(91, 288000),...
`+`(`*`(`^`(x, 2), `*`(`+`(`-`(2), `-`(`*`(3, `*`(x))), `-`(`*`(`/`(8, 9), `*`(`^`(x, 2)))), `-`(`*`(`/`(95, 864), `*`(`^`(x, 3)))), `-`(`*`(`/`(107, 14400), `*`(`^`(x, 4)))), `-`(`*`(`/`(91, 288000),...
`+`(`*`(`^`(x, 2), `*`(`+`(`-`(2), `-`(`*`(3, `*`(x))), `-`(`*`(`/`(8, 9), `*`(`^`(x, 2)))), `-`(`*`(`/`(95, 864), `*`(`^`(x, 3)))), `-`(`*`(`/`(107, 14400), `*`(`^`(x, 4)))), `-`(`*`(`/`(91, 288000),...
(3.2.2.18)
 

Typesetting:-mrow(Typesetting:-mi( 

`+`(`-`(`*`(`/`(1, 227598336000), `*`(a, `*`(`^`(x, 10), `*`(`+`(`-`(621), `*`(140, `*`(ln(x)))))))))) = 0 (3.2.2.19)
 

MAPLE dsolve solution..... 

Typesetting:-mrow(Typesetting:-mi( 

10 (3.2.2.20)
 

Typesetting:-mrow(Typesetting:-mi( 

y(x) = `+`(`*`(_C1, `*`(x, `*`(series(`+`(1, x, `*`(`/`(1, 4), `*`(`^`(x, 2))), `*`(`/`(1, 36), `*`(`^`(x, 3))), `*`(`/`(1, 576), `*`(`^`(x, 4))), `*`(`/`(1, 14400), `*`(`^`(x, 5))), `*`(`/`(1, 518400...
y(x) = `+`(`*`(_C1, `*`(x, `*`(series(`+`(1, x, `*`(`/`(1, 4), `*`(`^`(x, 2))), `*`(`/`(1, 36), `*`(`^`(x, 3))), `*`(`/`(1, 576), `*`(`^`(x, 4))), `*`(`/`(1, 14400), `*`(`^`(x, 5))), `*`(`/`(1, 518400...
y(x) = `+`(`*`(_C1, `*`(x, `*`(series(`+`(1, x, `*`(`/`(1, 4), `*`(`^`(x, 2))), `*`(`/`(1, 36), `*`(`^`(x, 3))), `*`(`/`(1, 576), `*`(`^`(x, 4))), `*`(`/`(1, 14400), `*`(`^`(x, 5))), `*`(`/`(1, 518400...
y(x) = `+`(`*`(_C1, `*`(x, `*`(series(`+`(1, x, `*`(`/`(1, 4), `*`(`^`(x, 2))), `*`(`/`(1, 36), `*`(`^`(x, 3))), `*`(`/`(1, 576), `*`(`^`(x, 4))), `*`(`/`(1, 14400), `*`(`^`(x, 5))), `*`(`/`(1, 518400...
(3.2.2.21)
 

 

Example 3. Find a series solution for the differential equation                    Typesetting:-mrow(Typesetting:-mi( 

 

Note x = 0 is a regular singular point for this deq. 

 

Typesetting:-mrow(Typesetting:-mi( 

`+`(`*`(x, `*`(diff(diff(y(x), x), x))), `*`(4, `*`(diff(y(x), x))), `-`(`*`(y(x), `*`(x)))) = 0 (3.2.3.1)
 

 

Typesetting:-mrow(Typesetting:-mi( 

`+`(`*`(`^`(x, r), `*`(y1(0))), `*`(`^`(x, r), `*`((D(y1))(0), `*`(x))), `*`(`/`(1, 2), `*`(`^`(x, r), `*`(((`@@`(D, 2))(y1))(0), `*`(`^`(x, 2))))), `*`(`/`(1, 6), `*`(`^`(x, r), `*`(((`@@`(D, 3))(y1)...
`+`(`*`(`^`(x, r), `*`(y1(0))), `*`(`^`(x, r), `*`((D(y1))(0), `*`(x))), `*`(`/`(1, 2), `*`(`^`(x, r), `*`(((`@@`(D, 2))(y1))(0), `*`(`^`(x, 2))))), `*`(`/`(1, 6), `*`(`^`(x, r), `*`(((`@@`(D, 3))(y1)...
(3.2.3.2)
 

Typesetting:-mrow(Typesetting:-mi( 

`+`(`-`(`*`(`/`(1, 720), `*`(`^`(x, `+`(r, 7)), `*`(((`@@`(D, 6))(y1))(0))))), `*`(`/`(7, 6), `*`(`^`(x, `+`(3, r)), `*`(((`@@`(D, 4))(y1))(0)))), `*`(3, `*`(`^`(x, `+`(r, 2)), `*`(((`@@`(D, 3))(y1))(...
`+`(`-`(`*`(`/`(1, 720), `*`(`^`(x, `+`(r, 7)), `*`(((`@@`(D, 6))(y1))(0))))), `*`(`/`(7, 6), `*`(`^`(x, `+`(3, r)), `*`(((`@@`(D, 4))(y1))(0)))), `*`(3, `*`(`^`(x, `+`(r, 2)), `*`(((`@@`(D, 3))(y1))(...
`+`(`-`(`*`(`/`(1, 720), `*`(`^`(x, `+`(r, 7)), `*`(((`@@`(D, 6))(y1))(0))))), `*`(`/`(7, 6), `*`(`^`(x, `+`(3, r)), `*`(((`@@`(D, 4))(y1))(0)))), `*`(3, `*`(`^`(x, `+`(r, 2)), `*`(((`@@`(D, 3))(y1))(...
`+`(`-`(`*`(`/`(1, 720), `*`(`^`(x, `+`(r, 7)), `*`(((`@@`(D, 6))(y1))(0))))), `*`(`/`(7, 6), `*`(`^`(x, `+`(3, r)), `*`(((`@@`(D, 4))(y1))(0)))), `*`(3, `*`(`^`(x, `+`(r, 2)), `*`(((`@@`(D, 3))(y1))(...
`+`(`-`(`*`(`/`(1, 720), `*`(`^`(x, `+`(r, 7)), `*`(((`@@`(D, 6))(y1))(0))))), `*`(`/`(7, 6), `*`(`^`(x, `+`(3, r)), `*`(((`@@`(D, 4))(y1))(0)))), `*`(3, `*`(`^`(x, `+`(r, 2)), `*`(((`@@`(D, 3))(y1))(...
`+`(`-`(`*`(`/`(1, 720), `*`(`^`(x, `+`(r, 7)), `*`(((`@@`(D, 6))(y1))(0))))), `*`(`/`(7, 6), `*`(`^`(x, `+`(3, r)), `*`(((`@@`(D, 4))(y1))(0)))), `*`(3, `*`(`^`(x, `+`(r, 2)), `*`(((`@@`(D, 3))(y1))(...
`+`(`-`(`*`(`/`(1, 720), `*`(`^`(x, `+`(r, 7)), `*`(((`@@`(D, 6))(y1))(0))))), `*`(`/`(7, 6), `*`(`^`(x, `+`(3, r)), `*`(((`@@`(D, 4))(y1))(0)))), `*`(3, `*`(`^`(x, `+`(r, 2)), `*`(((`@@`(D, 3))(y1))(...
`+`(`-`(`*`(`/`(1, 720), `*`(`^`(x, `+`(r, 7)), `*`(((`@@`(D, 6))(y1))(0))))), `*`(`/`(7, 6), `*`(`^`(x, `+`(3, r)), `*`(((`@@`(D, 4))(y1))(0)))), `*`(3, `*`(`^`(x, `+`(r, 2)), `*`(((`@@`(D, 3))(y1))(...
(3.2.3.3)
 

Typesetting:-mrow(Typesetting:-mi( 

`*`(r, `*`(y1(0), `*`(`+`(3, r)))) (3.2.3.4)
 

roots are 0 and -3     In this case they differ by a positive integer   

 

 

roots are  r = 0 and -3. Using the larger root  r = 0 

 

Typesetting:-mrow(Typesetting:-mi( 

[0, `+`(`*`(4, `*`(b))), `+`(`*`(5, `*`(((`@@`(D, 2))(y1))(0))), `-`(a)), `+`(`*`(3, `*`(((`@@`(D, 3))(y1))(0))), `-`(b)), `+`(`-`(`*`(`/`(1, 2), `*`(((`@@`(D, 2))(y1))(0)))), `*`(`/`(7, 6), `*`(((`@@...
[0, `+`(`*`(4, `*`(b))), `+`(`*`(5, `*`(((`@@`(D, 2))(y1))(0))), `-`(a)), `+`(`*`(3, `*`(((`@@`(D, 3))(y1))(0))), `-`(b)), `+`(`-`(`*`(`/`(1, 2), `*`(((`@@`(D, 2))(y1))(0)))), `*`(`/`(7, 6), `*`(((`@@...
[0, `+`(`*`(4, `*`(b))), `+`(`*`(5, `*`(((`@@`(D, 2))(y1))(0))), `-`(a)), `+`(`*`(3, `*`(((`@@`(D, 3))(y1))(0))), `-`(b)), `+`(`-`(`*`(`/`(1, 2), `*`(((`@@`(D, 2))(y1))(0)))), `*`(`/`(7, 6), `*`(((`@@...
(3.2.3.5)
 

Typesetting:-mrow(Typesetting:-mi( 

{((`@@`(D, 5))(y1))(0) = `+`(`*`(`/`(1, 6), `*`(b))), ((`@@`(D, 4))(y1))(0) = `+`(`*`(`/`(3, 35), `*`(a))), ((`@@`(D, 9))(y1))(0) = `+`(`*`(`/`(1, 15), `*`(b))), ((`@@`(D, 7))(y1))(0) = `+`(`*`(`/`(1,...
{((`@@`(D, 5))(y1))(0) = `+`(`*`(`/`(1, 6), `*`(b))), ((`@@`(D, 4))(y1))(0) = `+`(`*`(`/`(3, 35), `*`(a))), ((`@@`(D, 9))(y1))(0) = `+`(`*`(`/`(1, 15), `*`(b))), ((`@@`(D, 7))(y1))(0) = `+`(`*`(`/`(1,...
(3.2.3.6)
 

Typesetting:-mrow(Typesetting:-mi( 

{((`@@`(D, 5))(y1))(0) = 0, ((`@@`(D, 9))(y1))(0) = 0, ((`@@`(D, 7))(y1))(0) = 0, ((`@@`(D, 3))(y1))(0) = 0, ((`@@`(D, 4))(y1))(0) = `+`(`*`(`/`(3, 35), `*`(a))), ((`@@`(D, 6))(y1))(0) = `+`(`*`(`/`(1...
{((`@@`(D, 5))(y1))(0) = 0, ((`@@`(D, 9))(y1))(0) = 0, ((`@@`(D, 7))(y1))(0) = 0, ((`@@`(D, 3))(y1))(0) = 0, ((`@@`(D, 4))(y1))(0) = `+`(`*`(`/`(3, 35), `*`(a))), ((`@@`(D, 6))(y1))(0) = `+`(`*`(`/`(1...
(3.2.3.7)
 

Typesetting:-mrow(Typesetting:-mi( 

`*`(`+`(1, `*`(`/`(1, 10), `*`(`^`(x, 2))), `*`(`/`(1, 280), `*`(`^`(x, 4))), `*`(`/`(1, 15120), `*`(`^`(x, 6))), `*`(`/`(1, 1330560), `*`(`^`(x, 8)))), `*`(a)) (3.2.3.8)
 

A second solution of the form   Typesetting:-mrow(Typesetting:-msub(Typesetting:-mi(and where C is a constant that may be zero. 

 

Typesetting:-mrow(Typesetting:-mi( 

`+`(`*`(C, `*`(y1(x), `*`(ln(x)))), sum(`*`(b[n], `*`(`^`(x, `+`(n, `-`(3))))), n = 0 .. infinity)) (3.2.3.9)
 

Typesetting:-mrow(Typesetting:-mi( 

`+`(`*`(`+`(`*`(x, `*`(C, `*`(diff(diff(y1(x), x), x)))), `*`(4, `*`(C, `*`(diff(y1(x), x)))), `-`(`*`(x, `*`(C, `*`(y1(x)))))), `*`(ln(x))), `*`(2, `*`(C, `*`(diff(y1(x), x)))), `/`(`*`(3, `*`(C, `*`...
`+`(`*`(`+`(`*`(x, `*`(C, `*`(diff(diff(y1(x), x), x)))), `*`(4, `*`(C, `*`(diff(y1(x), x)))), `-`(`*`(x, `*`(C, `*`(y1(x)))))), `*`(ln(x))), `*`(2, `*`(C, `*`(diff(y1(x), x)))), `/`(`*`(3, `*`(C, `*`...
(3.2.3.10)
 

Again since y1(x)  is a solution the factor on ln(x) is 0. 

 

 

Typesetting:-mrow(Typesetting:-mi(
Typesetting:-mrow(Typesetting:-mi(
 

`+`(`-`(`*`(b[10], `*`(`^`(x, 8)))), `*`(`+`(`*`(`/`(19, 1330560), `*`(C, `*`(a))), `-`(b[9])), `*`(`^`(x, 7))), `*`(`+`(`*`(70, `*`(b[10])), `-`(b[8])), `*`(`^`(x, 6))), `*`(`+`(`*`(54, `*`(b[9])), `...
`+`(`-`(`*`(b[10], `*`(`^`(x, 8)))), `*`(`+`(`*`(`/`(19, 1330560), `*`(C, `*`(a))), `-`(b[9])), `*`(`^`(x, 7))), `*`(`+`(`*`(70, `*`(b[10])), `-`(b[8])), `*`(`^`(x, 6))), `*`(`+`(`*`(54, `*`(b[9])), `...
(3.2.3.11)
 

 

 

Typesetting:-mrow(Typesetting:-mi(
Typesetting:-mrow(Typesetting:-mi(
 

{b[5] = `+`(`*`(28, `*`(b[7]))), b[4] = `+`(`*`(18, `*`(b[6]))), b[3] = `+`(`*`(280, `*`(b[7]))), b[0] = `+`(`-`(`*`(144, `*`(b[6])))), b[1] = 0, b[7] = b[7], b[6] = b[6], b[2] = `+`(`*`(72, `*`(b[6])... (3.2.3.12)
 

Typesetting:-mrow(Typesetting:-mi( 

`+`(`*`(`+`(280, `*`(28, `*`(`^`(x, 2))), `*`(`^`(x, 4))), `*`(b[7])), `*`(`+`(`-`(`/`(`*`(144), `*`(`^`(x, 3)))), `/`(`*`(72), `*`(x)), `*`(18, `*`(x)), `*`(`^`(x, 3))), `*`(b[6]))) (3.2.3.13)
 

Typesetting:-mrow(Typesetting:-mi( 

`+`(`*`(`+`(1, `*`(`/`(1, 10), `*`(`^`(x, 2))), `*`(`/`(1, 280), `*`(`^`(x, 4)))), `*`(b[3])), `*`(`+`(`-`(`*`(`/`(1, 8), `*`(x))), `-`(`*`(`/`(1, 144), `*`(`^`(x, 3)))), `/`(1, `*`(`^`(x, 3))), `-`(`... (3.2.3.14)
 

NOTE   The factor on Typesetting:-mrow(Typesetting:-msub(Typesetting:-mi(for another independent solution we must choose Typesetting:-mrow(Typesetting:-msub(Typesetting:-mi( to be nonzero. 

             In effect sln2aff is a general solution to the given deq. 

 

Typesetting:-mrow(Typesetting:-mi( 

 

 

Typesetting:-mrow(Typesetting:-mi( 

y(x) = `+`(`*`(_C1, `*`(series(`+`(1, `*`(`/`(1, 10), `*`(`^`(x, 2))), `*`(`/`(1, 280), `*`(`^`(x, 4))), `*`(`/`(1, 15120), `*`(`^`(x, 6))), `*`(`/`(1, 1330560), `*`(`^`(x, 8))))+O(`^`(x, 10)),x,10)))... (3.2.3.15)
 

 

Legal Notice: The copyright for this application is owned by the author(s). Neither Maplesoft nor the author are responsible for any errors contained within and are not liable for any damages resulting from the use of this material. This application is intended for non-commercial, non-profit use only. Contact the author for permission if you wish to use this application in for-profit activities.
 

Image