TENSORS OF RELATIVISTIC ELECTRODYNAMICS WITH MAPLE
Alexei V. Tikhonenko
General Physics Department, State Technical University of Nuclear Power Engineering, Obninsk, Russia
futureprint@obninsk.com
This work develops algorithms of construction, calculation and transformation of physical vectors and tensors in relativistic electrodynamics with MAPLE.
1. Lorentz transformations
Consider transformations of vectors and tensors with Lorentz transformations in four-dimensional pseudo-Euclidean space-time. We will use "tensor" and "linalg" packages for operations with vectors and tensors in four-dimensional space-time.
The first necessary step is creation of the metric tensor of four-dimensional pseudo-Euclidean space-time:
Lorentz transformations (for two reference frames) are determined as
where
,
and V is relative velocity of reference frames in the line of x-axis.
Components of covariant vector
will transform with Lorentz transformations as
Components of covariant tensor
Components of the symmetrical covariant tensor
or
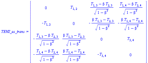
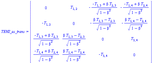
Components of the asymmetrical covariant tensor
2. 4-velocity ? 4-acceleration
Consider 4-radius-vector of particle moving in four-dimensional space-time:
Consider 4-velocity of particle in four-dimensional space-time:
Square of 4-velocity is
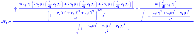
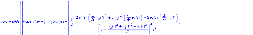
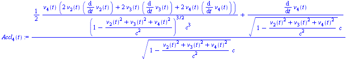
Consider 4-acceleration of particle in four-dimensional space-time:
The scalar product of 4-velocity ? 4-acceleration is equal to
This value means orthogonality of 4-velocity ? 4-acceleration.
Another form of 4-acceleration is:
3. energy-momentum vector
Consider 4-velocity
and define 4-energy-momentum vector as
Square of 4-energy-momentum vector is:
As another form of 4-energy-momentum vector is
we have
4-energy-momentum vectorwill transform with Lorentz transformations as
Make sure that square of 4-energy-momentum vector is invariant relatively to Lorentz transformations:
and
=.
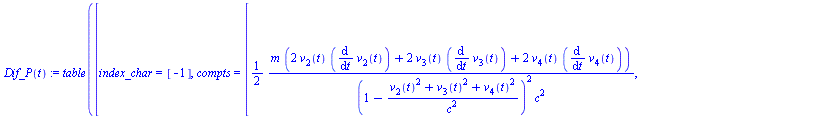
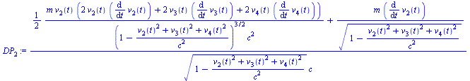
Differentiate 4-energy-momentum vector by interval:
These formulas can be rewritten as:
Therefore, we have that derivatives of components of 4-energy-momentum vector differ from accel-eration components by the factor m/c.
Now we denote derivatives of components of 4-energy-momentum vector by
whence
and 4-force vector is:
4. Tensor of electromagnetic field
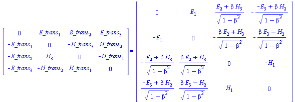
Consider covariant 4-tensor of electromagnetic field:
Contravariant tensor of electromagnetic field is:
Dual tensor to covariant tensor of electromagnetic field is:
Dual tensor to contravariant tensor of electromagnetic field is:
Calculate invariants of electromagnetic field:
Components of tensor of electromagnetic field will transform with Lorentz transformations as
5. Energy-momentum tensor of electromagnetic field
Mixed and contravariant 4-tensors of electromagnetic field are:
Calculate miscellaneous functions:
So contravariant energy-momentum tensor of electromagnetic field is
or in standart denotes
Covariant energy-momentum tensor of electromagnetic field is
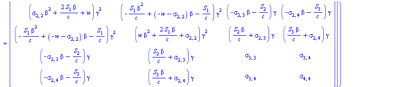
Components of energy-momentum tensor will transform with Lorentz transformations as
So energy density (w), components of energy flux density vector (S) and components of Maxwell stress tensor () will transform as
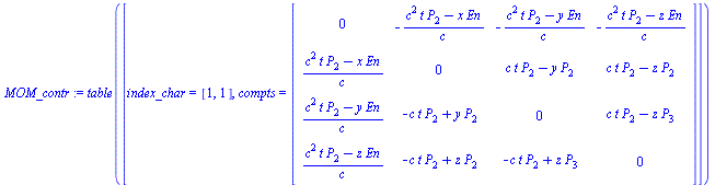
6. Energy-momentum tensor of macroscopic particles
Consider energy-momentum tensor of macroscopic particles:
Components of energy-momentum tensor of macroscopic particleswill transform with Lorentz transformations as
7. Energy-momentum tensor of plane electromagnetic wave
Consider plane electromagnetic wave with filed vectors:
So energy-momentum tensor of plane electromagnetic wave is
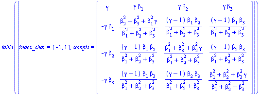
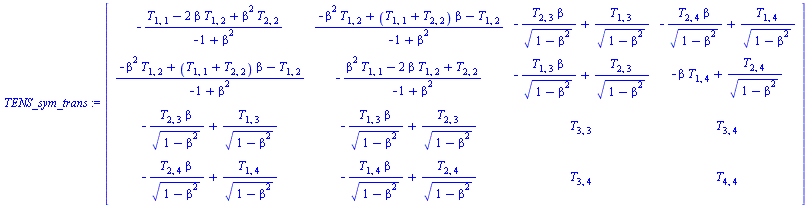
8. General Lorentz transformations
Consider general Lorentz transformations.
Components of covariant vector will transform with Lorentz transformations as
Components of covariant tensor will transform with Lorentz transformations as
For symmetrical tensor we have transformations:
For asymmetrical tensor we have transformations:
9. Tensor of moment of momentum
Define antisymmetric tensor of moment of momentum. We need to determine 4-radius-vector of particle and 4-energy-momentum vector:
Define miscellaneous functions
and create covariant antisymmetric tensor of moment of momentum:
Contravariant antisymmetric tensor of moment of momentum is:
We can rewrite these relations in standart denotes:
References
1. Landau L.D., Lifshits E.V. Theoretical physics. V. 2. Field theory. - Moscow. Fizmatlit. 2003.
2. Tikhonenko A.V. Calculus of tensors and applications in applied mathematical packets. Obninsk. IATE. 2007
Legal Notice: The copyright for this application is owned by the author(s). Neither Maplesoft nor the author are responsible for any errors contained within and are not liable for any damages resulting from the use of this material. This application is intended for non-commercial, non-profit use only. Contact the author for permission if you wish to use this application in for-profit activities.