Orthogonal Functions, Orthogonal Polynomials, and Orthogonal Wavelets series expansions of function
? Sergey Moiseev 2009
Kodofon
Russia
smoiseev@kodofon.vrn.ru, snmoiseev@yandex.ru
As you read this worksheet, you should execute the commands in sequence as you come to them.
Introduction
The worksheet includes all the best known continuous orthogonal series expansions in the closed form. It demonstrates the use of Maple to evaluate expansion of a function by Fourier, Hartley, Fourier-Bessel, Orthogonal Rational Tangent, Rectangular, Haar Wavelet, Walsh, Slant, Piece-Linear-Quadratic, Associated Legandre, Orthogonal Rational, Generalized sinc, Sinc, Sinc Wavelet, Jacobi, Chebyshev first kind, Chebyshev second kind, Gegenbauer, Generalized Laguerre, Laguerre, Hermite, and classical polynomials orthogonal series. Also the worksheet demonstrates how to create new orthonormal basis of functions by using the Gram-Schmidt orthogonalization process by the example of Slant, and Piece-Linear-Quadratic orthonormal functions creating.
Initialization of expansion procedures
Gram-Schmidt orthogonalization for L2 space
The GramSchmidL2(f, x = a..b) calling sequence computes a list of orthonormal functions on the interval from a to b by using the Gram-Schmidt orthogonalization process.
f - the list of algebraic expressions representing the initial linear independant set of functions . x - the variable name appearing in .
a, b - endpoints of interval of the orthogonalization.
It returns list of orthonormal functions (algebraic expressions).
Fourier expansion of a function
The FourierE(f, x = a..b, n) calling sequence computes the Fourier series expansion
of the expression f with respect to the variable x on the interval from a to b as folows:
f - the algebraic expression representing the function. x - the variable name appearing in f.
a, b - endpoints of the interval on which expansion is taken.
n - the maximal number of expansion terms that correspond to the number of the expansion coefficients 2n+1.
It returns list of n Fourier expansions of function f(x) for terms of expansion n=1,2,..,n.
Cas (cosin and sine) functions
Hartley expansion of a function
The HartleyE(f, x = a..b, n) calling sequence computes the Hartley series expansion
It returns list of n Hartley expansions of function f(x) for terms of expansion n=1,2,..,n.
Fourier-Bessel expansion of a function
The FourierBesselE(f, x = a..b, n, v) calling sequence computes the Fourier-Bessel series expansion of the expression f with respect to the variable x on the interval from a to b
as folows:
where is increasing positive zeroes of the BesselJ(v,x) function. f - the algebraic expression representing the function.
x - the variable name appearing in f.
n - the maximal number of expansion terms that correspond to the number of the expansion coefficients n.
v>-1/2 - the order of BesselJ function.
It returns list of n Fourier-Bessel expansions of function f(x) for terms of expansion
n=1,2,..,n.
Orthogonal Rational Tangent functions
The Rattan(p, j, x) calling sequence computes the j-th Orthogonal Rational Tangent function.
p∈ℝ, p≠0 - the form factor.
j - the function number.
x - the argument of the function.
This functions are orthonormal on the interval .
Orthogonal Rational Tangent expansion of a function
The RattanE(f, x=a..b, n, p) calling sequence computes the Orthogonal Rational Tangent series expansion of the expression f with respect to the variable x on the interval from a to b as folows:
n - the maximal number of expansion terms that correspond to the number of the expansion coefficients 2n.
It returns list of n Orthogonal Rational Tangent expansions of function f(x) for terms of expansion n=1,2,..,n.
Associated Legendre functions expansion of a function
The LegendreE(f, x = a..b, n, m) calling sequence computes the Associated Legendre series expansion of the expression f with respect to the variable x on the interval from a to b as folows:
where
parameters (order) of the Associated Legandre function.
It returns list of n Associated Legandre expansions of function f(x) for terms of expansion
If then the procedure returns Legendre polynomials expansion.
Jacobi polynomials expansion of a function
The JacobiE(f, x = a..b, n, ) calling sequence computes the Jacobi polynomials series expansion of the expression f with respect to the variable x on the interval from a to b
parameters of the Jacobi polynomial.
It returns list of n Jacobi polynomials expansions of function f(x) for terms of expansion
If then the procedure returns Chebyshev first kind polynomials expansion.
If then the procedure returns Chebyshev second kind polynomials expansion.
If then the procedure returns Gegenbauer polynomials expansion.
Jacobi functions expansion of a function
The JacobiFE(f, x = a..b, n, ) calling sequence computes the Jacobi functions series expansion of the expression f with respect to the variable x on the interval from a to b
It returns list of n Jacobi functions expansions of function f(x) for terms of expansion
If then the procedure returns Chebyshev first kind functions expansion.
If then the procedure returns Chebyshev second kind functions expansion.
If then the procedure returns Gegenbauer functions expansion.
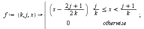
Rect function
Rect expansion of a function
The RectE(f, x = a..b, n) calling sequence computes the Rect series expansion
It returns list of n Rect expansions of function f(x) for terms of expansion n=1,2,..,n.
Haar functions (Haar wavelets)
The Haar(n, j, x) calling sequence computes the j-th Haar function (wavelet)
of order n () on interval [0,1).
n - the order of the Haar function (scale of the wavelet) .
j - the Haar function number (shift of the wavelet) ().
x - the argument of Haar function.
Haar expansion of a function
The HaarE(f, x = a..b, n) calling sequence computes the Haar series expansion
n - the maximal number of "expansion terms" that correspond to the number of the expansion coefficients .
It returns list of n Haar expansions of function f(x) for "terms of expansion" n=1,2,..,n.
Walsh functions
The Walsh(n, j, x, opt) calling sequence computes the j-th Walsh function
of order n () on interval [0,1). The set of the Walsh functions are arranged in optional opt order.
n - the order of the Walsh function .
j - the Walsh function number ().
x - the argument of Walsh function. opt - optional arranged order of the set of Walsh functions. It is used as follows.
order=Walsh - sequency (or Walsh) order, order=Paley - dyadic (or Paley) order, order=Hadamard - natural (or Hadamard) order .
By default opt is equal to order=Walsh.
Walsh expansion of a function
The WalshE(f, x = a..b, n) calling sequence computes the Walsh series expansion
It returns list of n Walsh expansions of function f(x) for "terms of expansion" n=1,2,..,n.
List of Slant functions
The Slant(n) calling sequence computes the list of n Slant functions.
Slant expansion of a function
The SlantE(f, x = a..b, n) calling sequence computes the Slant series expansion of the expression f with respect to the variable x on the interval from a to b as folows:
n - the maximal number of expansion terms that correspond to the number of the expansion coefficients .
It returns list of n Slant expansions of function f(x) for terms of expansion n=1,2,..,n.
List of Piece-Linear-Quadratic functions
The PieceLQ(n) calling sequence computes the list of n Piece-Linear-Quadratic functions.
Piece-Linear-Quadratic expansion of a function
The PieceLQE(f, x = a..b, n) calling sequence computes the Piece-Linear-Quadratic series expansion of the expression f with respect to the variable x on the interval from a to b as folows:
It returns list of n Piece-Linear-Quadratic expansions of function f(x) for terms of expansion n=1,2,..,n.
Generalized Laguerre polynomials expansion of a function
The LaguerreE(f, x, a, d, n, ) calling sequence computes the Generalized Laguerre polynomials series expansion of the expression f with respect to the variable x on the interval from a to as folows:
a - left endpoint of the semi-infinite interval on which expansion is taken.
d>0 - scale parameter.
parameter of the Generalized Laguerre polynomial.
It returns list of Generalized Laguerre polynomials expansions of function f(x) for terms of expansion n=1,2,..,n.
If then the procedure returns Laguerre polynomials expansion.
Generalized Laguerre functions expansion of a function
The LaguerreFE(f, x, a, d, n, ) calling sequence computes the Generalized Laguerre functions series expansion of the expression f with respect to the variable x on the interval from a to as folows:
It returns list of Generalized Laguerre functions expansions of function f(x) for terms of expansion n=1,2,..,n.
If then the procedure returns Laguerre functions expansion.
Hermite polynomials expansion of a function
The HermiteE(f, x, a, d, n) calling sequence computes the Hermite polynomials series expansion of the expression f with respect to the variable x on the interval from to as folows:
a - shift parameter.
It returns list of Hermite polynomials expansions of function f(x) for terms of expansion n=1,2,..,n.
Hermite functions expansion of a function
The HermiteFE(f, x, a, d, n) calling sequence computes the Hermite functions series expansion of the expression f with respect to the variable x on the interval from to as folows:
It returns list of Hermite functions expansions of function f(x) for terms of expansion n=1,2,..,n.
Orthogonal Rational functions
The Rat(j, x) calling sequence computes the j-th Orthogonal Rational function.
Orthogonal Rational expansion of a function
The RatE(f, x, a, d, n) calling sequence computes the Orthogonal Rational series expansion of the expression f with respect to the variable x on the interval from to as folows:
It returns list of Orthogonal Rational expansions of function f(x) for terms of expansion n=1,2,..,n.
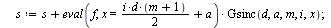
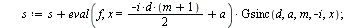
Generalized sinc functions
The Gsinc(d, a, m, j, x) calling sequence computes the j-th Generalised sinc function.
m∈ℕ - rolloff factor (for m=2 and m=3 the Generalised sinc functions are not orthogonal),
If m=1 then the procedure returns sinc function.
Generalized sinc expansion of a function
The GsincE(f, x, a, d, m, n) calling sequence computes the Generalized sinc series expansion of the expression f with respect to the variable x on the interval from to as folows:
m∈ℕrolloff factor (if m=2 or m=3 the expansions is not orthogonal).
If m=1 then the procedure returns sinc expansion (Whittaker-Shannon-Kotelnikov series expansion).
n - the maximal number of expansion terms that correspond to the number of the expansion coefficients 2n-1.
It returns list of n Generalized sinc expansions of function f(x) for terms of expansion n=1,2,..,n.
Sinc Wavelets (Shannon wavelets)
The Sincwave(n, j, x) calling sequence computes the j-th Sinc Wavelet
of order (scale) n on interval ().
n - the order of the Sinc Wavelet (scale of the wavelet)
j - the Sinc Wavelet number (shift of the wavelet).
x - the argument of Sinc Wavelet.
Sinc Wavelets expansion of a function
The SincwaveE(f, x , a, d, n) calling sequence computes the Sinc Wavelet series expansion
of the expression f with respect to the variable x on the interval from to as folows:
a - initial shift parameter.
d>0 - initial scale parameter.
It returns list of n Sinc Wavelet expansions of function f(x) for "terms of expansion" n=1,2,..,n.
Selection of function and interval of expansion
Functions for expansion:
Enter maximal number of expansion terms: =
Enter interval for expansion from a to b: a= b=
Select function for expansion:
Reading of the selected parameters
Fourier expansion
List of the expansions evaluation
Animation of expansions
Hartley expansion
Fourier-Bessel expansion
Enter the order of Bessel function : =
Orthogonal Rational Tangent expansion
Enter the form factor : =
Associated Legandre expansion
Enter the order of Associated Legandre function (m): =
Jacobi expansion
Enter the parameters
of the polynomials
: =
Jacobi polynomials expansion
Jacobi functions expansion
Rect expansion
Haar expansion
Walsh expansion
Slant expansion
Piece-Linear-Quadratic expansion
Generalized Laguerre expansion on
Enter interval for expansion from a to : a=
Enter scale parameter (d>0): d=
Enter the parameters of the polynomials : =
( if then the procedure returns
Laguerre polynomials (functions) expansion)
Generalized Laguerre polynomials expansion
Generalized Laguerre functions expansion
Hermite expansion on interval
Enter shift parameter: a=
Hermite polynomials expansion
Hermite functions expansion
Orthogonal Rational expansion on interval
Generalized sinc expansion on interval
Enter rolloff factor (m∈ℕ): m=
If m=2 or m=3 the expansions is not orthogonal.
Sinc Wavelets expansion on interval
Enter initial shift parameter: a=
Enter initial scale parameter (d>0): d=
Legal Notice: The copyright for this application is owned by the author. Neither Maplesoft nor the author are responsible for any errors contained within and are not liable for any damages resulting from the use of this material. This application is intended for non-commercial, non-profit use only. Contact the author for permission if you wish to use this application in for-profit activities.