VasicekModel - Maple Help
For the best experience, we recommend viewing online help using Google Chrome or Mozilla Firefox.

Online Help

All Products    Maple    MapleSim


Finance

  

VasicekModel

  

define Vasicek interest rate model

 

Calling Sequence

Parameters

Description

Examples

References

Compatibility

Calling Sequence

VasicekModel(r0, mu, theta, sigma)

Parameters

r0

-

initial interest rate

mu

-

long-running mean

theta

-

speed of mean reversion

sigma

-

volatility

Description

• 

The VasicekModel command creates a Vasicek model with the specified parameters. Under this model the short-rate process rt has the following dynamics with respect to the risk-neutral measure

drt=θμλσ+θrtdt+σdWt

where θ, σ, and μ, are non-negative constants and W(t) is a Wiener process modeling the random market risk factor.

Examples

withFinance:

First define a Vasicek model with parameters r0=0.03, μ=0.05, θ=0.3 and σ=0.02.

modelVasicekModel0.03,0.05,0.3,0.02

modelmoduleend module

(1)

The following is the corresponding stochastic process.

rShortRateProcessmodel

r_X0

(2)

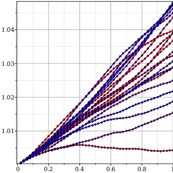
PathPlotrt,t=0..1,timesteps=50,replications=20,axes=BOXED,thickness=2,color=red..blue,gridlines=true

PathPlotexpIntru,u=0..t,t=0..1,timesteps=50,replications=20,axes=BOXED,thickness=2,color=red..blue,gridlines=true

Here is the corresponding short-rate tree.

treeShortRateTreemodel,20,20

treemoduleend module

(3)

TreePlottree,gridlines=true,thickness=2,axes=BOXED

times0.08,0.24,0.48,1.0,2.0,5.0,10.0,30.0

times0.08,0.24,0.48,1.0,2.0,5.0,10.0,30.0

(4)

discountDiscountBondPricemodel,0.03,times

discount0.9975839096646550.9926592231662320.9850601676208590.9678601700771990.9327925652576690.8227627109835560.6538920812770460.252136624704580

(5)

term_structureDiscountCurvetimes,convertdiscount,list

term_structuremoduleend module

(6)

plotterm_structure,0.1..30,thickness=2,axes=BOXED,gridlines=true

References

  

Brigo, D., Mercurio, F., Interest Rate Models: Theory and Practice, New York: Springer-Verlag, 2001.

  

Glasserman, P., Monte Carlo Methods in Financial Engineering, New York: Springer-Verlag, 2004.

  

Hull, J., Options, Futures, and Other Derivatives, 5th. edition. Upper Saddle River, New Jersey: Prentice Hall, 2003.

  

Vasicek, O.A., An Equilibrium Characterization of the Term Structure, Journal of Financial Economics, 5 (1977), pp 177-188.

Compatibility

• 

The Finance[VasicekModel] command was introduced in Maple 15.

• 

For more information on Maple 15 changes, see Updates in Maple 15.

See Also

Finance[BlackScholesProcess]

Finance[CoxIngersollRossModel]

Finance[HullWhiteModel]

Finance[OrnsteinUhlenbeckProcess]

Finance[PathGenerator]

Finance[SamplePath]

Finance[ShortRateProcess]

Finance[ShortRateTree]