Pigments&Dyes - Maple Help
For the best experience, we recommend viewing online help using Google Chrome or Mozilla Firefox.

Online Help

All Products    Maple    MapleSim


Pigments and Dyes

 Copyright (c) Lant, Montgomery, and Mazziotti 2023
This work is licensed under a Creative Commons Attribution-NoDerivatives 4.0 International License.

 

Learning Goals:

Pigments and Dyes

References

Learning Goals:

 

By the end of this lesson, students will be able to:

 

• 

Predict the energy levels of conjugated dyes from the particle-in-a-box model

• 

Connect the energy levels to a dye's absorption spectrum and its color

 

 

Pigments and Dyes

 

Based on the discussion in the previous lessons, we can formulate an answer to our original question:
   
Question: Why are some substances colored and others not?
   
Answer: Electrons in atoms and molecules occupy discrete energy levels.  If the energy of a photon in the visible spectrum matches the energy difference between two energy levels, the photon can be absorbed, causing an electron to be excited from a lower to a higher energy level. Therefore, the atom or molecule will appear colored with the complementary color being observed!

 

In the lesson on "Absorption and Quantization," we found that we can calculate the wavelengths that might be absorbed if we know the allowed electronic energy levels of the hydrogen atom.  For more complex molecules with many electrons, sophisticated computational methods are required to calculate the energy levels. (See the lesson on "Quantum Calculations of Dyes")   However, for some systems, it is possible to employ simplified, approximate models for finding differences in energy levels. The accuracy of such models depends on how good the underlying assumptions apply to the compound of interest.

 

First, we introduce a simple quantum model known as "The Particle in a 1D Box". Then, we apply this model to a type of organic pigments and dyes that involve chains of conjugated electrons.

 

Particle in a Box Model

 

We saw previously for the hydrogen atom that the Rutherford-Bohr model of the atom restricted the electron to move in a circular orbit around the nucleus at fixed distances.  The attraction between the electron and the nucleus is the force that keeps the electron in orbit.

 

What if we have an electron that is only allowed to move along a line segment with length L.  The electron feels no attractive or repulsive forces from other particles. The only force the electron feels is a repulsive "wall" at each end of the line segment. This imaginary scenario is referred to as a "Particle in a 1D Box".  

 

What would the corresponding energy levels be for this particle?  While we do not go into the mathematical details, the allowed energy levels are given by

 En=n2h28mL2        (Equation 1)

 

where n is a positive integer (just like in the hydrogen atom), h is Planck's constant, m is the mass of the particle (in this case an electron), and L is the length of the line segment.   

 

Since the values of n are positive integers, the allowed energies that the electron is allowed to have are again discrete and depend on the length of the box, L. To visualize the energy levels for an electron in a 1 nm box, let's calculate then plot the first few energy levels of the particle in a box

 

Enter the length of the box, in nm:

 

L1.:      

 

Calculate the first few energy levels and print to screen (with the format n, En)

 

me evalfScientificConstants:-Constant'me':h evalfScientificConstants:-Constant'h':EhevalfScientificConstants:-Constant'Eh': cevalfScientificConstants:-Constant'c':En,Ln2h2 8 meL1e−92: Emax Eh2: for n from 1 by 1 while En,LEmax  do n,En,LUnits:-Unit'J' end do ;

1,6.024667296×10−20J

2,2.409866919×10−19J

3,5.422200567×10−19J

4,9.639467674×10−19J

5,1.506166823×10−18J

6,2.168880227×10−18J

(2.1.1)

 

We can now plot the above energy levels.

 

nn1:MEVectorn,1,nEn,L :MLVectorn,1,nL :AplotEmax,x=0..2 L,y=0..Emax, tickmarks=0,default :BplotML,ME, symbolsize=15, style=point,symbol=circle,color=Blue:plotsdisplayA,B 

 

Since we are only interested in the lower energy levels for this example, the red line in the plot corresponds to some fixed energy cutoff above which we stopped calculating energies. Compare these energy levels with those of the hydrogen atom (See "Absorption and Quantization"). What is different?

 

For an electron in the ground state, n = 1, what photon wavelength would be required to excite the electron to the second energy level, n = 2? To answer this, we need to calculate the difference in energy between states n =1 and n = 2 and then solve for λ:

 

# Calculate the difference in energy:

DeltaEE2,L  E1,L

DeltaE1.807400189×10−19

(2.1.2)

 

# Calculate the wavelength for absorbed photon to cause transition:

wavelengthhcDeltaEUnits:-Unit'm';

wavelength1.099062530×10−6m

(2.1.3)

 

# Convert wavelength to nm to compare with visible spectrum:

convertwavelength,units,'nm'

1099.062530nm

(2.1.4)

 

 

 (a) Would this electron system with L = 1 be colored?

 

Now make the length of the length of the box 2 nm and recalculate the energy levels, plot, and wavelength.

 

(b) What do you notice about the spacing of energy levels and the wavelength?  For the electron system, should the length of the box be increased or decreased?   Experiment with different values of L to find one that will give rise to colored system.

 

Using the above calculations, we see that the length of the box influences the wavelengths that will be absorbed during a transition, with "Goldilocks zone" corresponding to a colored system. So with this simple model we have an imaginary dye molecule!

 

Further Consideration

 

Let's consider the question: "What length of box would be required to have a functioning cyan dye molecule?

 

In order for the electron in a 1D box to act like a dye molecule, the spacing between energy levels would need to correspond to photon energies in the visible spectrum.   Recall that the wavelength of the absorbed photon can be related to the difference in energy levels:

ΔE=hcλ.

We can determine ΔE between two energy levels (n1 = 1 and n2 = 2, for example) from Equation 2:

ΔE= n22n12h28mL2,

 

Combining these two equations and solving for L, we get

L= n22n12hλ8mc.      (Equation 2)

 

 

So for an electron in a 1D box to behave like a cyan dye, it would need to absorb in the red, say λ = 680 nm when excited from the n = 1 to the n = 2 energy levels.  Let's calculate the length of the corresponding box!

 

First enter the desired λ to be absorbed, in nm:

wavelength680. : n11:      n22:

 

Now get Planck's constant, the speed of light, and λ in terms of meters:

 

hevalfScientificConstants:-Constant'h':cevalfScientificConstants:-Constant'c':  meevalfScientificConstants:-Constant'me':

 

Finally, we can calculate the length of the box as:

 

Lsqrtn22n12hwavelength1e−98mecUnits:-Unit'm'

L7.865806443×10−10m

(2.1.1.1)

 

If we convert to Angstroms, we get

 

LconvertL,units,'Ao'

L7.865806443Å

(2.1.1.2)

 

We see that an electron in a 7.9 Å box would behave like a dye with an observed cyan color!  To put this into perspective, the length of a typical carbon-carbon bond is 1.5 Å, so the 1D box would be a similar distance as 4-5  bonded carbon atoms!

 

 

 

Conjugated Dyes

 

While the particle in a box model may seem overly simplistic, it can actually be used to model more complicated compounds containing conjugated carbon chains!  Organic dyes often contain a conjugated system of alternating single and double bonds.  Electrons in the conjugated system are referred to as "π-electrons".  For example, the red-orange pigment β-carotene found in plants, fruits, and vegetables contains a long chain of 11 conjugated double bonds, or 22 π-electrons. Execute the Maple commands below to visualize the β-carotene pigment.

 

molecQuantumChemistry:-MolecularGeometrybetacarotene:

QuantumChemistry:-MolecularDatabetacarotene,image2d;

 

 

The π-electrons are delocalized over the length of the conjugated chain. That is, they are free to move along the full length of the chain. If we approximate the zig-zag path to be a straight line, and if we ignore the potential interactions between the π-electrons and the nuclei, we can treat the compound as a collection of electrons moving in a 1D box!  It turns out that this is a fairly good approximation for some dyes!

 

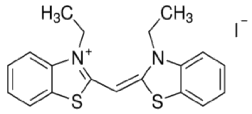
Consider a set of conjugated cyanine dyes, as listed in Table 1, which contains the name of the dye, its structure, and the approximate length of the conjugated chain, as determined by experiment. Figures 1 and 2 depict the color and absorption spectrum for each dye, respectively.

 

Table 1

Dye Name

Structure

3,3'-diethylthiacyanine iodide

 

(Dye 1)

 

L = 0.929 nm

 

3,3'-diethylthiacarbocyanine iodide

 

(Dye 2)

 

L = 1.207 nm

 

3,3'-diethylthiadicarbocyanine iodide

 

(Dye 3)

 

L = 1.485 nm

 

3,3'-diethylthiatricarbocyanine iodide

 

(Dye 4)

 

L = 1.763 nm

 

 

 

 

Figure 1: Cuvettes containing Dye 1 (yellow), Dye 2 (magenta), Dye 3 (blue), and Dye 4 (blue-green)

 

 

 

 

 

                 

 

Figure 2: Conjugated dyes a) λmax = 421 nm, b) λmax = 556 nm, c) λmax = 651 nm, d) λmax = 763 nm  

 

 

For each dye, the conjugated chain runs between the N+ and N atoms, including the lone pair on the N atom. Therefore, Dye 1 contains 6 π-electrons, Dye 2 contains 8 π-electrons, etc.  Can we apply the particle in a box model to these days? Yes! But we need to consider the fact that now we have more than one electron in the box!

 

Consider Dye 1. Let's calculate the energy levels using the same method as in the previous subsection:

 

L0.929;

L0.92900000

(2.2.1)

 

Calculate the first few energy levels and print to screen (with the format n, En)

 

me evalfScientificConstants:-Constant'me':h evalfScientificConstants:-Constant'h':EhevalfScientificConstants:-Constant'Eh': cevalfScientificConstants:-Constant'c':En,Ln2h2 8 meL1e−92: Emax Eh2: for n from 14 by 1 to 1 do n,En,LUnits:-Unit'J' end do ;

14,1.36822560×10−17J

13,1.17974554×10−17J

12,1.00522697×10−17J

11,8.44669886×10−18J

10,6.98074286×10−18J

9,5.65440172×10−18J

8,4.46767543×10−18J

7,3.42056400×10−18J

6,2.51306743×10−18J

5,1.74518571×10−18J

4,1.11691886×10−18J

3,6.28266857×10−19J

2,2.79229714×10−19J

1,6.98074286×10−20J

(2.2.2)

 

We can now plot the above energy levels.    

 

n14:MEVectorn,1,nEn,L :MLVectorn,1,nL:BplotML,ME, symbolsize=15, style=point,symbol=circle,color=Blue:plotsdisplayB 

 

 

 

Now an important distinction between the single electron dye we considered in the previous section and our conjugated dyes is that the latter has more than one electron in the 1D box!   Dye 1 has 6 π-electrons.  Do all the electrons have the same energy? An important concept in quantum mechanics is the Pauli Exclusion Principle:

 

Pauli Exclusion Principle:  Each atomic or molecular orbital can hold at most two electrons, and the electron spins must be opposite.

 

Therefore, for our Dye 1, only two electrons can occupy the n = 1 energy level, two electrons can occupy the n = 2 level, and two electrons can occupy the n = 3 level (Figure 3a).  So the lowest energy transition corresponds to an electron in the n = 3 level absorbing a photon to be excited to the n = 4 level (Figure 3b).

 

 

 

Figure 3: a) Ground state molecular orbital diagram for Dye 1 based on Particle in a Box model.  b) Excited state after absorption of photon.

 

Let's calculate the wavelength that will cause this transition!

 

# Calculate the difference in energy. (If calculating for Dye 2, 3, or 4, make sure to update the values of n for the HOMO and LUMO!)

DeltaEE4,L  E3,L

DeltaE4.88652000×10−19

(2.2.3)

 

# Calculate the wavelength for absorbed photon to cause transition:

wavelengthhcDeltaEUnits:-Unit'm';

wavelength4.06515439×10−7m

(2.2.4)

 

# Convert wavelength to nm to compare with visible spectrum:

convertwavelength,units,'nm'

406.51543940nm

(2.2.5)

 

How does this compare to the UV/Vis absorption spectrum?  From Figure 2, we see that the experimental value for the peak wavelength is λ = 421 nm, a 3.4% error!  Not bad for such a simple model!  

 

(c) Modify the commands above to determine the peak wavelength for Dyes 2, 3, and 4 and determine the % error.

 

 

 

 Approximating UV/Vis Absorption Plots for Cyanine Dyes

 

Notice that the peak in the absorption spectrum of each dye corresponds to overlapping peaks, perhaps one larger one with a smaller peak leading to a "shoulder".   Use the Maple code below to construct the observed absorption spectrum and compare the calculated color with the observed!

 

lambda1'lambda1':lambda2'lambda2':epsilon1'epsilon1':epsilon2'epsilon2': sigma1'sigma1':sigma2'sigma2':Explore plots:-displayplotepsilon1*exp2066*1/x  1/lambda1*lambda1/sigma1^2+epsilon2*exp2066*1/x  1/lambda2*lambda2/sigma2^2, x = 300 .. 900., Abs = 0 .. 1.5, numpoints = 300, labels = 'x', , color = black, thickness = 4, 'parameters' = lambda1 = 380 .. 780,  epsilon1= 0 .. 1., sigma1 = 0 .. 500.,lambda2 = 380 .. 780,  epsilon2= 0 .. 1., sigma2 = 0 .. 500., 'initialvalues' = lambda1 = 400., epsilon1 = 0.50000000, sigma1 = 100,lambda2 = 400., epsilon2 = 0.50000000, sigma2 = 100, size = 400, 300 ;

λ1

ε1

σ1

λ2

ε2

σ2

 

 

Enter the three parameters for each peak below and execute the code to predict the absorbed and observed colors.

 

lambda1750:epsilon1.9:sigma1100:lambda2690:epsilon20.332:sigma2100: sumRGBVector3:absdataVector601:xposVector601:for i from 1 by 1 to 600 do xposi300.+i11.0; absdataiepsilon1*exp2066*1/xposi  1/lambda1*lambda1/sigma1^2;absdataiabsdatai+epsilon2*exp2066*1/xposi  1/lambda2*lambda2/sigma2^2;RGBvalueColorTools:-WavelengthToColorxposi,method=linear; sumRGB1sumRGB1+ RGBvalue1absdatai:sumRGB2sumRGB2+RGBvalue2absdatai:sumRGB3sumRGB3+RGBvalue3absdatai; end do: sumRGBsumRGBmaxsumRGB1 epsilon1+epsilon22: redsumRGB1:greensumRGB2:bluesumRGB3:plots:-displayVectorrowplots:-displayplottools:-disk1, 1, 1, color=ColorTools:-ColorRGB, red,green,blue, axes=none,plots:-displayplottools:-disk1, 1, 1, color=ColorTools:-ColorRGB, 1. red,1. green,1. blue, axes=none,size = 300, 300;lambda1evalnlambda1:epsilon1evalnepsilon1:sigma1evalnsimga1:lambda2evalnlambda2:epsilon2evalnepsilon2:sigma2evalnsimga2:

 

(d) How well did the predicted color match the expected?

 

 

 

b-carotene

 

Revisit the β-carotene molecule introduced at the beginning of this section.  Modify the Maple code provided for cyanine dyes to calculate the peak wavelength and compare to absorption spectrum.  The length of the β-carotene conjugated chain is 1.77 nm.  Compare with experimental absorption spectra.

 

 

Before leaving this section, let's reassign λ

     

lambda'lambda';

λλ

(2.2.6)

 

 

 

 

References

1. Christie, R. The Physical and Chemical Basis of Colour. In Colour Chemistry. 2nd Ed. Royal Chemical Society: Cambridge. 2001. pp. 12-21.
2. Stockman, A., MacLeod, D. I., & Johnson, N. E. (1993). Spectral sensitivities of the human cones. Journal of the Optical Society of America, A, Optics, Image & Science, 10(12), 2491–2521.