ApplyHomomorphism - Maple Help
For the best experience, we recommend viewing online help using Google Chrome or Mozilla Firefox.

Online Help

All Products    Maple    MapleSim


LieAlgebras[ApplyHomomorphism] - apply a Lie algebra homomorphism to a vector, form or tensor

Calling Sequences

     ApplyHomomorphism(φ, T, keyword)

Parameters

     φ          - a linear transformation from a Lie algebra 𝔤 to another Lie algebra 𝔥

     T        - a vector, a form, or a tensor defined on either the domain Lie algebra 𝔤 or the range Lie algebra 𝔥

     keyword  - (optional) string keyword, either "domain" or "range"

 

Description

Examples

Description

• 

ApplyHomomorphism(φ, T) will apply the transformation Phi to the vector, form or tensor T and return an object of the same type. The precise evaluation rules for ApplyHomomorphism depend upon the specific properties of T and whether or not Phi is invertible. The details are as follows.

• 

Applied to tensors, the command ApplyHomomorphism acts as a ring homomorphism, that is, ApplyHomomorphism(φ, TS) = ApplyHomomorphism(φ, T)ApplyHomomorphism(φ, S).

• 

CASE 1. T is a vector in the domain algebra 𝔤 of φ. In this case ApplyHomomorphism(Phi, T) simply applies the linear transformation φ to the vector T and the result is a vector in the range algebra 𝔥 of the transformation φ.

• 

CASE 2. T is a p-form on the range algebra 𝔥 of transformation φ.In this case ApplyHomomorphism(φ, T) simply applies the pullback of the linear transformation φ to the p-form T and the result is a p-form in the domain 𝔤 of φ.

• 

CASE 3. T is a tensor on 𝔤 and φ is an invertible linear transformation. Then ApplyHomomorphism(φ, T) is the tensor on the range algebra 𝔥 obtained by the pushforward by φ of the contravariant components of T and the pullback of the covariant components of T by the inverse of φ.

• 

CASE 4. T is a tensor on 𝔥  and φ is an invertible linear transformation. Then ApplyHomomorphism(φ, T) is the tensor on the domain algebra 𝔤 obtained by the pushforward of the contravariant components of T by the inverse of φ and the pullback of the covariant components of T by φ.

• 

CASE 5. T is a tensor on 𝔤 and φ is not invertible. Then T must be a contravariant tensor (that is, a tensor products of vectors) in which case ApplyHomomorphism(φ, T) is the contravariant tensor defined on the range algebra 𝔥 and obtained by the pushforward of Phi acting on vectors in 𝔤.

• 

When 𝔥 =𝔤, Case 4 takes precedence over Case 5. Alternatively ApplyHomomorphism can be forced to use Case 4 or Case 5 with the third optional argument "domain" or "range".

• 

CASE 6. T is a tensor on 𝔥 and φ is not invertible.  Then T must be a covariant tensor (that is, a tensor product of 1-forms) in which case ApplyHomomorphism(φ, T) is the covariant tensor defined on the domain algebra g and obtained by the pullback of φ acting on 1-forms in h.

• 

The command ApplyHomomorphism is part of the DifferentialGeometry:-LieAlgebras package.  It can be used in the form ApplyHomomorphism(...) only after executing the commands with(DifferentialGeometry) and with(LieAlgebras), but can always be used by executing DifferentialGeometry:-LieAlgebras:-ApplyHomomorphism(...).

Examples

withDifferentialGeometry:withLieAlgebras:

 

Example 1.

First initialize two copies of a Lie algebra, called Alg1 and Alg2, and display the Lie bracket multiplication tables.

LC1_DGLieAlgebra,Alg1,4,1,4,1,1,2,3,1,1,2,4,2,1:

DGsetupLC1,x,α:

Alg1 > 

LC2_DGLieAlgebra,Alg2,4,1,4,1,1,2,3,1,1,2,4,2,1:

Alg1 > 

DGsetupLC2,y,β:

Alg2 > 

printMultiplicationTableAlg1,LieBracket,MultiplicationTableAlg2,LieBracket

e1,e4=e1,e2,e3=e1,e2,e4=e2,e1,e4=e1,e2,e3=e1,e2,e4=e2

(2.1)

 

We use AdjointExp to construct a linear transformation (in fact, an isomorphism) from Alg1 to Alg2.

Alg2 > 

AAdjointExprx1+sx2+tx3:

Alg1 > 

ΦTransformationAlg1,Alg2,A

Φ:=x1,y1,x2,ty1+y2,x3,sy1+y3,x4,ts2+ry1+sy2+y4

(2.2)

 

We calculate the effects of the command ApplyHomomorphism in each of the following cases.

CASE 1: vectors in the domain algebra Alg1.

CASE 2: 1-forms on the range algebra Alg2.

CASE 3: rank 1 covariant tensors on the domain algebra Alg1.

CASE 4: rank 1 contravariant vectors on the range algebra Alg2.

In each case we show the matrix which defines the transformation.

 

CASE 1: vectors in the domain algebra Alg1.

Alg2 > 

Vectorsx1,x2,x3,x4:

Alg2 > 

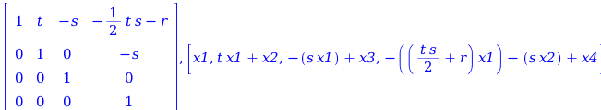
A,map2ApplyHomomorphism,Φ,Vectors

 

CASE 2: 1-forms on the range algebra Alg2.

Alg2 > 

Formsβ1,β2,β3,β4:

Alg2 > 

AtrLinearAlgebra:-TransposeA:

Alg2 > 

Atr,map2ApplyHomomorphism,Φ,Forms

 

CASE 3. rank 1 covariant tensors on the domain algebra Alg1.

Alg1 > 

CovariantTensorsmapconvert,α1,α2,α3,α4,DGtensor

CovariantTensors:=α1,α2,α3,α4

(2.3)
Alg1 > 

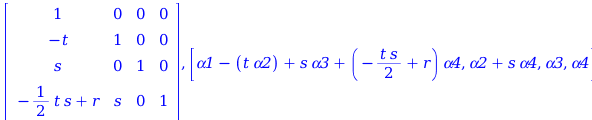
AintrLinearAlgebra:-MatrixInverseLinearAlgebra:-TransposeA:

Alg1 > 

Aintr,map2ApplyHomomorphism,Φ,CovariantTensors

 

CASE 4. rank 1 contravariant vectors on the range algebra Alg2.

Alg2 > 

ContravariantTensorsmapconvert,y1,y2,y3,y4,DGtensor:

Alg2 > 

AinLinearAlgebra:-MatrixInverseA:

Alg2 > 

Ain,map2ApplyHomomorphism,Φ,ContravariantTensors

 

We show, by way of a simple example, the extensions of the mappings in CASE 1 and CASE 3 form a mixed tensor on the range Alg2.

Alg1 > 

Tα2&tensorx3

T:=α2x3

(2.4)
Alg1 > 

ApplyHomomorphismΦ,T

sβ2y1+β2y3s2β4y1sβ4y3

(2.5)

 

We show, by way of a simple example, the extensions of the mappings in CASE 2 and CASE 4 form a mixed tensor on the domain Alg1.

Alg2 > 

Tβ2&tensory3

T:=β2y3

(2.6)
Alg2 > 

ApplyHomomorphismΦ,T

sα2x1+α2x3s2α4x1+sα4x3

(2.7)

See Also

DifferentialGeometry

LieAlgebras

AdjointExp

DGtensor

MultiplicationTable

Pullback

Pushforward

Transformation