BinomialRandomVariable - Maple Help
For the best experience, we recommend viewing online help using Google Chrome or Mozilla Firefox.

Online Help

All Products    Maple    MapleSim


Student[Statistics]

  

BinomialRandomVariable

  

binomial random variable

 

Calling Sequence

Parameters

Description

Notes

Examples

References

Compatibility

Calling Sequence

BinomialRandomVariable(n, p)

Parameters

n

-

number of trials

p

-

probability of success

Description

• 

The binomial random variable is a discrete probability random variable with probability function given by:

ft=0t<0ntpt1pntotherwise

  

subject to the following conditions:

0<n,0p,p1

• 

The binomial random variable is used for the estimation of probabilities in a set of success or failures.  The binomial variate indicates the number of successes in a set of n Bernoulli trials, each with probability of success p.

Notes

• 

The Quantile function applied to a binomial distribution uses a sequence of iterations in order to converge upon the desired output point.  The maximum number of iterations to perform is equal to 100 by default, but this value can be changed by setting the environment variable _EnvStatisticsIterations to the desired number of iterations.

Examples

withStudentStatistics&colon;

XBinomialRandomVariablen&comma;p&colon;

ProbabilityFunctionX&comma;u

0u<0nupu1pnuotherwise

(1)

ProbabilityFunctionX&comma;1

np1pn1

(2)

MeanX

pn

(3)

VarianceX

np1p

(4)

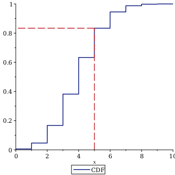
YBinomialRandomVariable10&comma;25&colon;

ProbabilityFunctionY&comma;x&comma;output=plot

CDFY&comma;3&comma;numeric

0.382280601592232

(5)

CDFY&comma;5&comma;output=plot

References

  

Evans, Merran; Hastings, Nicholas; and Peacock, Brian. Statistical Distributions. 3rd ed. Hoboken: Wiley, 2000.

  

Johnson, Norman L.; Kotz, Samuel; and Balakrishnan, N. Continuous Univariate Distributions. 2nd ed. 2 vols. Hoboken: Wiley, 1995.

  

Stuart, Alan, and Ord, Keith. Kendall's Advanced Theory of Statistics. 6th ed. London: Edward Arnold, 1998. Vol. 1: Distribution Theory.

Compatibility

• 

The Student[Statistics][BinomialRandomVariable] command was introduced in Maple 18.

• 

For more information on Maple 18 changes, see Updates in Maple 18.

See Also

Statistics[Distributions][Binomial]

Student

Student[Statistics]

Student[Statistics][RandomVariable]