SeasonalSubseriesPlot - Maple Help
For the best experience, we recommend viewing online help using Google Chrome or Mozilla Firefox.

Online Help

All Products    Maple    MapleSim


TimeSeriesAnalysis

  

SeasonalSubseriesPlot

  

display seasonal time series data

 

Calling Sequence

Parameters

Options

Description

Examples

Compatibility

Calling Sequence

SeasonalSubseriesPlot(ts, opts)

Parameters

ts1

-

TimeSeries object

opts

-

(optional) equations of the form optionname = value, where optionname is one of means, starting_period, space, or seasonnames; or a general plot option

Options

• 

means = false or a list of plot options

  

This option can be used to control the appearance of the horizontal line for the mean values per season. Setting means to false prevents the lines from showing up; other values are applied to the lines to set their color, thickness, and so on.

• 

startingperiod = integer

  

By default, the time series is assumed to start with the first season. That is, the season containing the first data point is shown the furthest to the left, the one after that to its right, et cetera. If a monthly time series starts in, say, March, then it would probably be better to start with January instead. This is indicated by telling Maple that the time series starts with the 3rd period, by using the option startingperiod = 3. You can use negative numbers to count from the end; for example, startingperiod = -1 would be applicable if your monthly time series starts with December. It would be equivalent to startingperiod = 12 for monthly data. The default is startingperiod = 1.

• 

space = real constant

  

This parameter controls a purely visual aspect of the resulting plot: the space between the line chart for one season and the one for the next. The line chart and the space together take up a horizontal width of 1 unit; the space parameter specifies the fraction of this horizontal width used for space. The fraction should typically be nonnegative and less than one. The default value is 0.05.

• 

seasonnames = list or an expression

  

The names of the seasons are shown under the corresponding line charts, as tick marks on the axis. The default names are season 1,season 2, et cetera. This option can be used to specify a different name; either as a list of expressions to be used, or by specifying a single expression. If you specify a single expression, for example quarter, then it will be followed by a space and the season number, for example quarter 1,quarter 2,.... If you specify a list, these are the names of the seasons, and they will be typeset as is.

  

If you specify an expression, it can be a typeset expression. If you specify a list, it can contain typeset expressions. To learn more about typesetting for plots, see plot/typeset.

• 

color = list or range or color option

  

If you specify a single color, then the line charts will all get that color. If you specify a list of colors, then the colors in that list will be used for the line charts of subsequent data sets in the time series. If you specify a range of colors, the colors in that range will be used for the line charts of subsequent data sets in the time series.

• 

Remaining options are passed to the plot command used for generating the line charts corresponding to the time series data, but not to the plot command for generating the horizontal lines for the seasonal means.

Description

• 

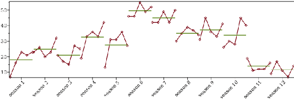
The SeasonalSubseriesPlot command is used for displaying a plot of the seasonal subseries of a time series; that is, all values for a particular season are shown together. For example, for a monthly time series, this plot shows the January data points of all years together, the February data points, and so on. The seasons are shown next to each other.

• 

Optionally, the plot also shows a horizontal line through each subseries, at the mean value for that season.

• 

Typically, this command is used for time series having only a single data set, but it is possible to use it for time series having multiple data sets. In that case, the values of all data sets for a particular season are shown together.

Examples

withTimeSeriesAnalysis:

Consider the following time series, which exhibits seasonal behavior with period 3.

ts1TimeSeries4,8,9,3,8,8,5,9,10,7,period=3

ts1Time seriesdata set10 rows of data:2015 - 2024

(1)

TimeSeriesPlotts1



SeasonalSubseriesPlotts1

You can color the lines of the means blue, and make the line charts for the time series thicker. You can also add a legend for the horizontal lines.

SeasonalSubseriesPlotts1,thickness=3,means=color=Niagara Blue,legend=seasonal mean

Consider the following monthly time series.

ts2TimeSeries7,23,21,19,13,46,42,30,31,26,19,9,16,26,17,33,31,46,42,35,45,30,11,17,23,20,15,36,31,55,49,39,36,28,12,11,21,23,27,33,36,49,42,37,33,45,12,7,23,32,25,42,27,52,50,34,41,40,16,14,frequency=monthly,startdate=2005-09

ts2Time seriesdata set60 rows of data:2005-09-01 - 2010-08-01

(2)

TimeSeriesPlotts2



SeasonalSubseriesPlotts2

The time series starts in September; it makes sense to start the display with January. You can also specify the names of the months; then you need to make the plot a little wider so that all the names fit. And finally, you increase the space between the months in the plot.

SeasonalSubseriesPlotts2,startingperiod=9,seasonnames=January,February,March,April,May,June,July,August,September,October,November,December,space=0.25,size=800,400

Compatibility

• 

The TimeSeriesAnalysis[SeasonalSubseriesPlot] command was introduced in Maple 18.

• 

For more information on Maple 18 changes, see Updates in Maple 18.

See Also

TimeSeriesAnalysis

TimeSeriesAnalysis[TimeSeriesPlot]