Application Center - Maplesoft

App Preview:

Equivalence problem in General Relativity

You can switch back to the summary page by clicking here.

Learn about Maple
Download Application




Formulating and solving the equivalence problem for Schwarzschild metric in a simple case

 

In connection with the digitizing in Maple 2016 of the database of solutions to Einstein's equations of the book Exact Solutions to Einstein Field Equations. I was recently asked about a statement found in the "What is new in Physics in Maple 2016" page:

  

In the Maple PDEtools package, you have the mathematical tools - including a complete symmetry approach - to work with the underlying [Einstein’s] partial differential equations. [By combining that functionality with the one in the Physics and Physics:-Tetrads package] you can also formulate and, depending on the metrics also resolve, the equivalence problem; that is: to answer whether or not, given two metrics, they can be obtained from each other by a transformation of coordinates, as well as compute the transformation.

This question posed is a reasonable one: "could you please provide one example?" This post provides that example.

 

First of all the existing science behind: in my opinion, the main reference regarding the equivalence problem is at the paper "A Review of the Geometrical Equivalence of Metrics in General Relativity", General Relativity and Gravitation, Vol. 12, No. 9, 1980, by A. Karlhede (University of Stockholm). This approach got refined later by others and, generally speaking, it is currently know as the Cartan-Karlhede method, summarized in chapter 9.2 of the book Exact Solutions to Einstein Field Equations. whose solutions were all digitized within the Physics and DifferentialGeometry packages for Maple 2016. This method of Chapter 9.2, however, is not the only approach to the problem, and sometimes simpler methods can handle the problem faster, or just in simpler forms.

 

The example worked out below is actually the example from Karlhede's paper just mentioned, on pages 704 - 706: "Show that the Schwarzschild metric and its form written in terms of isotropic spherical coordinates are equivalent, and derive the transformation that relates them". Because this problem happens to be simple for nowadays computer algebra, below I also tackle it modified, slightly more difficult variants of it. The approach shown works for more complicated cases as well.

 

Below we tackle Karlhede's paper-problem using: one PDEtools command, the Physics:-TransformCoordinates, the Physics:-Weyl command to compute the Weyl scalars and the Physics:-Tetrads:-PetrovType to see the Petrov type of the metrics involved. The transformation resolving the equivalence is explicitly derived.

 

Start loading the Physics and Tetrads package. To reproduce the computations below, as usual, update your Physics library with the one available for download at the Maplesoft R&D Physics webpage

with(Physics); with(Tetrads); Setup(auto = true, tetradmetric = null, signature = `+---`)

`Setting lowercaselatin letters to represent tetrad indices `

0, "%1 is not a command in the %2 package", Tetrads, Physics

0, "%1 is not a command in the %2 package", Tetrads, Physics

`* Partial match of  'auto' against keyword 'automaticsimplification'`

[automaticsimplification = true, signature = `+ - - -`, tetradmetric = {(1, 2) = 1, (3, 4) = -1}]

(1)

To formulate the problem, set first some symbols to represent the changed metric, changed mass and changed coordinates - no mathematics at this point

gt, mt, tt, rt, thetat, phit := `𝔤`, `𝔪`, `𝔱`, `𝔯`, `ϑ`, `ϕ`

`𝔤`, `𝔪`, `𝔱`, `𝔯`, vartheta, varphi

(2)

Set now a new coordinates system, call it Y, involving the new coordinates (in the paper they are represented with a tilde on top of the letters)

Coordinates(Y = [tt, rt, thetat, phit])

`Default differentiation variables for d_, D_ and dAlembertian are: `*{Y = (`𝔱`, `𝔯`, `ϑ`, `ϕ`)}

`Systems of spacetime Coordinates are: `*{Y = (`𝔱`, `𝔯`, `ϑ`, `ϕ`)}

{Y}

(3)

According to eq.(7.6) of the paper, the line element of Schwarzschild solution in isotropic spherical coordinates is given by

`#msup(mi("ds"),mn("2"))` := ((1-mt/(2*rt))/(1+mt/(2*rt)))^2*d_(tt)^2-(1+mt/(2*rt))^4*(d_(rt)^2+rt^2*d_(thetat)^2+rt^2*sin(thetat)^2*d_(phit)^2)

(-2*`𝔯`+`𝔪`)^2*Physics:-d_(`𝔱`)^2/(2*`𝔯`+`𝔪`)^2-(1/16)*(2*`𝔯`+`𝔪`)^4*(Physics:-d_(`𝔯`)^2+`𝔯`^2*Physics:-d_(vartheta)^2+`𝔯`^2*sin(vartheta)^2*Physics:-d_(varphi)^2)/`𝔯`^4

(4)

Set this to be the metric

Setup(metric = `#msup(mi("ds"),mn("2"))`)

Check it out

g_[]

Physics:-g_[mu, nu] = Matrix(%id = 18446744078306516254)

(5)

In connection with the transformation used further below, compute now the Petrov type and the Weyl scalars for this metric, just to have an idea of what is behind this metric.

PetrovType()

"D"

(6)

Weyl[scalars]

psi__0 = 0, psi__1 = 0, psi__2 = -64*`𝔯`^3*`𝔪`/(2*`𝔯`+`𝔪`)^6, psi__3 = 0, psi__4 = 0

(7)

We see that the Weyl scalars are already in canonical form (see post in Mapleprimes about canonical forms): only `&Psi;__2` <> 0 and the important thing: it depends on only one coordinate, `&rfr;` .

 

Now: we want to see if this metric (5) is equivalent to Schwarzschild metric in standard spherical coordinates

g_[sc]

`Systems of spacetime Coordinates are: `*{X = (t, r, theta, phi), Y = (`&tfr;`, `&rfr;`, `&vartheta;`, `&varphi;`)}

`Default differentiation variables for d_, D_ and dAlembertian are: `*{X = (t, r, theta, phi)}

`The Schwarzschild metric in coordinates `[t, r, theta, phi]

`Parameters: `[m]

Physics:-g_[mu, nu] = Matrix(%id = 18446744078795590102)

(8)

The equivalence we want to resolve is regarding an arbitrary relationship `&mfr;`(m)between the masses used in (5) and (8) and a generic change of variables from X to Y

TR := {phi = Phi(Y), r = R(Y), t = Tau(Y), theta = Theta(Y)}

{phi = Phi(Y), r = R(Y), t = Tau(Y), theta = Theta(Y)}

(9)

Using a differential equation mindset, the formulation of the equivalence between (8) and (5) under the transformation (9) is actually simple: change variables in (8), using (9) and the Physics:-TransformCoordinates command (this is the command that changes variables in tensorial expressions), then equate the result to (5), then try to solve the problem for the unknowns `&mfr;`(m), Phi(Y), R(Y), Theta(Y) and Tau(Y).

 

We note at this point, however, that the Weyl scalars for Schwarzschild metric in this standard form (8) are also in canonical form of Petrov type D and also depend on only one variable, r 

PetrovType()

"D"

(10)

Weyl[scalars]

psi__0 = 0, psi__1 = 0, psi__2 = -m/r^3, psi__3 = 0, psi__4 = 0

(11)

The fact that the Weyl scalars in both cases ((7) and (11)) are in canonical form (only `&Psi;__2` <> 0 ) and in both cases this scalar depends on only one coordinate is already an indicator that the transformation involved changes only one variable in terms of the other one. So one could just search for a transformation of the form r = R(`&rfr;`) and resolve the problem instantly. Still, to make the problem slightly more general, consider instead a generic transformation for r in terms of all of Y = (`&tfr;`, `&rfr;`, `&vartheta;`, `&varphi;`)

tr := r = R(Y)

r = R(Y)

(12)

PDEtools:-declare(r = R(Y))

R(`&tfr;`, `&rfr;`, vartheta, varphi)*`will now be displayed as`*R

(13)

Transform the  coordinates in the metric (because of having used PDEtools:-declare, derivatives of the unknowns R are displayed indexed, for compact notation)

TransformCoordinates(tr, g_[mu, nu])

Matrix(%id = 18446744078873927542)

(14)

Proceed equating (14) to (5) to obtain a set of equations that entirely formulates the problem

"convert(rhs(?)=? ,setofequations)"

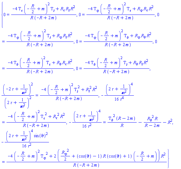
{0 = (diff(R(Y), `&rfr;`))*(diff(R(Y), `&tfr;`))*R(Y)/(-R(Y)+2*m), 0 = (diff(R(Y), varphi))*(diff(R(Y), `&rfr;`))*R(Y)/(-R(Y)+2*m), 0 = (diff(R(Y), varphi))*(diff(R(Y), `&tfr;`))*R(Y)/(-R(Y)+2*m), 0 = (diff(R(Y), varphi))*(diff(R(Y), vartheta))*R(Y)/(-R(Y)+2*m), 0 = (diff(R(Y), vartheta))*(diff(R(Y), `&rfr;`))*R(Y)/(-R(Y)+2*m), 0 = (diff(R(Y), vartheta))*(diff(R(Y), `&tfr;`))*R(Y)/(-R(Y)+2*m), (-2*`&rfr;`+`&mfr;`)^2/(2*`&rfr;`+`&mfr;`)^2 = ((diff(R(Y), `&tfr;`))^2*R(Y)^2-4*(-(1/2)*R(Y)+m)^2)/(R(Y)*(-R(Y)+2*m)), -(1/16)*(2*`&rfr;`+`&mfr;`)^4/`&rfr;`^4 = (diff(R(Y), `&rfr;`))^2*R(Y)/(-R(Y)+2*m), -(1/16)*(2*`&rfr;`+`&mfr;`)^4/`&rfr;`^2 = -(diff(R(Y), vartheta))^2*R(Y)/(R(Y)-2*m)-R(Y)^2, -(1/16)*(2*`&rfr;`+`&mfr;`)^4*sin(vartheta)^2/`&rfr;`^2 = 2*((1/2)*(diff(R(Y), varphi))^2+(cos(vartheta)-1)*R(Y)*(cos(vartheta)+1)*(-(1/2)*R(Y)+m))*R(Y)/(-R(Y)+2*m)}

(15)

This problem, shown in Karlhede's paper as the example of the approach he summarized, is solvable using the differential equation commands of PDEtools (in this case casesplit) in one go and no time, obtaining the same solution shown in the paper with equation number (7.10), the problem actually admits two solutions

PDEtools:-casesplit({0 = (diff(R(Y), `&rfr;`))*(diff(R(Y), `&tfr;`))*R(Y)/(-R(Y)+2*m), 0 = (diff(R(Y), varphi))*(diff(R(Y), `&rfr;`))*R(Y)/(-R(Y)+2*m), 0 = (diff(R(Y), varphi))*(diff(R(Y), `&tfr;`))*R(Y)/(-R(Y)+2*m), 0 = (diff(R(Y), varphi))*(diff(R(Y), vartheta))*R(Y)/(-R(Y)+2*m), 0 = (diff(R(Y), vartheta))*(diff(R(Y), `&rfr;`))*R(Y)/(-R(Y)+2*m), 0 = (diff(R(Y), vartheta))*(diff(R(Y), `&tfr;`))*R(Y)/(-R(Y)+2*m), (-2*`&rfr;`+`&mfr;`)^2/(2*`&rfr;`+`&mfr;`)^2 = ((diff(R(Y), `&tfr;`))^2*R(Y)^2-4*(-(1/2)*R(Y)+m)^2)/(R(Y)*(-R(Y)+2*m)), -(1/16)*(2*`&rfr;`+`&mfr;`)^4/`&rfr;`^4 = (diff(R(Y), `&rfr;`))^2*R(Y)/(-R(Y)+2*m), -(1/16)*(2*`&rfr;`+`&mfr;`)^4/`&rfr;`^2 = -(diff(R(Y), vartheta))^2*R(Y)/(R(Y)-2*m)-R(Y)^2, -(1/16)*(2*`&rfr;`+`&mfr;`)^4*sin(vartheta)^2/`&rfr;`^2 = 2*((1/2)*(diff(R(Y), varphi))^2+(cos(vartheta)-1)*R(Y)*(cos(vartheta)+1)*(-(1/2)*R(Y)+m))*R(Y)/(-R(Y)+2*m)}, [R, mt])

`casesplit/ans`([R(Y) = -(1/4)*(m-2*`&rfr;`)^2/`&rfr;`, `&mfr;` = -m], []), `casesplit/ans`([R(Y) = (1/4)*(2*`&rfr;`+m)^2/`&rfr;`, `&mfr;` = m], [])

(16)

By all means this does not mean this differential equation approach is better than the general approach mentioned in the paper (also in section 9.2 of the Exact Solutions book). This presentation above only makes the point of the paragraph mentioned at the beginning of this worksheet "... [in Maple 2016] you can also formulate and, depending on the the metrics also resolve, the equivalence problem; that is: to answer whether or not, given two metrics, they can be obtained from each other by a transformation of coordinates, as well as compute the transformation." 

 

In any case this problem above is rather easy for the computer. Consider a slightly more difficult problem, where `&mfr;` <> m. For example:

"subs(mt = 1/(mt^(2)),?)"

Physics:-g_[mu, nu] = Matrix(%id = 18446744078854733566)

(17)

Tackle now the same problem

"convert(rhs(?)=? ,setofequations)"

{0 = (diff(R(Y), `&rfr;`))*(diff(R(Y), `&tfr;`))*R(Y)/(-R(Y)+2*m), 0 = (diff(R(Y), varphi))*(diff(R(Y), `&rfr;`))*R(Y)/(-R(Y)+2*m), 0 = (diff(R(Y), varphi))*(diff(R(Y), `&tfr;`))*R(Y)/(-R(Y)+2*m), 0 = (diff(R(Y), varphi))*(diff(R(Y), vartheta))*R(Y)/(-R(Y)+2*m), 0 = (diff(R(Y), vartheta))*(diff(R(Y), `&rfr;`))*R(Y)/(-R(Y)+2*m), 0 = (diff(R(Y), vartheta))*(diff(R(Y), `&tfr;`))*R(Y)/(-R(Y)+2*m), (-2*`&rfr;`+1/`&mfr;`^2)^2/(2*`&rfr;`+1/`&mfr;`^2)^2 = ((diff(R(Y), `&tfr;`))^2*R(Y)^2-4*(-(1/2)*R(Y)+m)^2)/(R(Y)*(-R(Y)+2*m)), -(1/16)*(2*`&rfr;`+1/`&mfr;`^2)^4/`&rfr;`^4 = (diff(R(Y), `&rfr;`))^2*R(Y)/(-R(Y)+2*m), -(1/16)*(2*`&rfr;`+1/`&mfr;`^2)^4/`&rfr;`^2 = -(diff(R(Y), vartheta))^2*R(Y)/(R(Y)-2*m)-R(Y)^2, -(1/16)*(2*`&rfr;`+1/`&mfr;`^2)^4*sin(vartheta)^2/`&rfr;`^2 = 2*((1/2)*(diff(R(Y), varphi))^2+(cos(vartheta)-1)*R(Y)*(cos(vartheta)+1)*(-(1/2)*R(Y)+m))*R(Y)/(-R(Y)+2*m)}

(18)

The solutions to the equivalence between (17) and (5) are then given by

PDEtools:-casesplit({0 = (diff(R(Y), `&rfr;`))*(diff(R(Y), `&tfr;`))*R(Y)/(-R(Y)+2*m), 0 = (diff(R(Y), varphi))*(diff(R(Y), `&rfr;`))*R(Y)/(-R(Y)+2*m), 0 = (diff(R(Y), varphi))*(diff(R(Y), `&tfr;`))*R(Y)/(-R(Y)+2*m), 0 = (diff(R(Y), varphi))*(diff(R(Y), vartheta))*R(Y)/(-R(Y)+2*m), 0 = (diff(R(Y), vartheta))*(diff(R(Y), `&rfr;`))*R(Y)/(-R(Y)+2*m), 0 = (diff(R(Y), vartheta))*(diff(R(Y), `&tfr;`))*R(Y)/(-R(Y)+2*m), (-2*`&rfr;`+1/`&mfr;`^2)^2/(2*`&rfr;`+1/`&mfr;`^2)^2 = ((diff(R(Y), `&tfr;`))^2*R(Y)^2-4*(-(1/2)*R(Y)+m)^2)/(R(Y)*(-R(Y)+2*m)), -(1/16)*(2*`&rfr;`+1/`&mfr;`^2)^4/`&rfr;`^4 = (diff(R(Y), `&rfr;`))^2*R(Y)/(-R(Y)+2*m), -(1/16)*(2*`&rfr;`+1/`&mfr;`^2)^4/`&rfr;`^2 = -(diff(R(Y), vartheta))^2*R(Y)/(R(Y)-2*m)-R(Y)^2, -(1/16)*(2*`&rfr;`+1/`&mfr;`^2)^4*sin(vartheta)^2/`&rfr;`^2 = 2*((1/2)*(diff(R(Y), varphi))^2+(cos(vartheta)-1)*R(Y)*(cos(vartheta)+1)*(-(1/2)*R(Y)+m))*R(Y)/(-R(Y)+2*m)}, [R, mt])

`casesplit/ans`([R(Y) = -(1/4)*(m-2*`&rfr;`)^2/`&rfr;`, `&mfr;`^2 = -1/m], [`&mfr;` <> 0]), `casesplit/ans`([R(Y) = (1/4)*(2*`&rfr;`+m)^2/`&rfr;`, `&mfr;`^2 = 1/m], [`&mfr;` <> 0])

(19)

Moreover, despite that the Weyl scalars suggest that a transformation of only one variable is sufficient to solve the problem, one could also consider a more general transformation, of more variables. Provided we exclude theta (because there is cos(theta) around and that would take us to solve differential equations for Theta(theta), that involve things like cos(Theta(theta))), and also to speed up matters let's remove the change in phi, consider an arbitrary change in r and t

TR := select(has, {phi = Phi(Y), r = R(Y), t = Tau(Y), theta = Theta(Y)}, {r, t})

{r = R(Y), t = Tau(Y)}

(20)

PDEtools:-declare({r = R(Y), t = Tau(Y)})

R(`&tfr;`, `&rfr;`, vartheta, varphi)*`will now be displayed as`*R

Tau(`&tfr;`, `&rfr;`, vartheta, varphi)*`will now be displayed as`*Tau

(21)

So our transformation now involve two arbitrary variables, each one depending on all the four coordinates, and a more complicated function `&mfr;`(m). Change variables (because of having used PDEtools:-declare, derivatives of the unknowns R and Tau are displayed indexed, for compact notation)

TransformCoordinates(TR, g_[mu, nu])

Matrix(%id = 18446744078309268046)

(22)

Construct the set of Partial Differential Equations to be tackled

"convert(rhs(?)=?,setofequations)"

{0 = (-4*(diff(Tau(Y), `&rfr;`))*(-(1/2)*R(Y)+m)^2*(diff(Tau(Y), `&tfr;`))+(diff(R(Y), `&rfr;`))*(diff(R(Y), `&tfr;`))*R(Y)^2)/(R(Y)*(-R(Y)+2*m)), 0 = (-4*(diff(Tau(Y), varphi))*(-(1/2)*R(Y)+m)^2*(diff(Tau(Y), `&rfr;`))+(diff(R(Y), varphi))*(diff(R(Y), `&rfr;`))*R(Y)^2)/(R(Y)*(-R(Y)+2*m)), 0 = (-4*(diff(Tau(Y), varphi))*(-(1/2)*R(Y)+m)^2*(diff(Tau(Y), `&tfr;`))+(diff(R(Y), varphi))*(diff(R(Y), `&tfr;`))*R(Y)^2)/(R(Y)*(-R(Y)+2*m)), 0 = (-4*(diff(Tau(Y), varphi))*(-(1/2)*R(Y)+m)^2*(diff(Tau(Y), vartheta))+(diff(R(Y), varphi))*(diff(R(Y), vartheta))*R(Y)^2)/(R(Y)*(-R(Y)+2*m)), 0 = (-4*(diff(Tau(Y), vartheta))*(-(1/2)*R(Y)+m)^2*(diff(Tau(Y), `&rfr;`))+(diff(R(Y), vartheta))*(diff(R(Y), `&rfr;`))*R(Y)^2)/(R(Y)*(-R(Y)+2*m)), 0 = (-4*(diff(Tau(Y), vartheta))*(-(1/2)*R(Y)+m)^2*(diff(Tau(Y), `&tfr;`))+(diff(R(Y), vartheta))*(diff(R(Y), `&tfr;`))*R(Y)^2)/(R(Y)*(-R(Y)+2*m)), (-2*`&rfr;`+1/`&mfr;`^2)^2/(2*`&rfr;`+1/`&mfr;`^2)^2 = (-4*(-(1/2)*R(Y)+m)^2*(diff(Tau(Y), `&tfr;`))^2+(diff(R(Y), `&tfr;`))^2*R(Y)^2)/(R(Y)*(-R(Y)+2*m)), -(1/16)*(2*`&rfr;`+1/`&mfr;`^2)^4/`&rfr;`^4 = (-4*(-(1/2)*R(Y)+m)^2*(diff(Tau(Y), `&rfr;`))^2+(diff(R(Y), `&rfr;`))^2*R(Y)^2)/(R(Y)*(-R(Y)+2*m)), -(1/16)*(2*`&rfr;`+1/`&mfr;`^2)^4/`&rfr;`^2 = (diff(Tau(Y), vartheta))^2*(R(Y)-2*m)/R(Y)-(diff(R(Y), vartheta))^2*R(Y)/(R(Y)-2*m)-R(Y)^2, -(1/16)*(2*`&rfr;`+1/`&mfr;`^2)^4*sin(vartheta)^2/`&rfr;`^2 = (-4*(-(1/2)*R(Y)+m)^2*(diff(Tau(Y), varphi))^2+2*((1/2)*(diff(R(Y), varphi))^2+(cos(vartheta)-1)*R(Y)*(cos(vartheta)+1)*(-(1/2)*R(Y)+m))*R(Y)^2)/(R(Y)*(-R(Y)+2*m))}

(23)

Solve the problem running a differential elimination (actually without solving any differential equations): there are more than two solutions

sol := PDEtools:-casesplit({0 = (-4*(diff(Tau(Y), `&rfr;`))*(-(1/2)*R(Y)+m)^2*(diff(Tau(Y), `&tfr;`))+(diff(R(Y), `&rfr;`))*(diff(R(Y), `&tfr;`))*R(Y)^2)/(R(Y)*(-R(Y)+2*m)), 0 = (-4*(diff(Tau(Y), varphi))*(-(1/2)*R(Y)+m)^2*(diff(Tau(Y), `&rfr;`))+(diff(R(Y), varphi))*(diff(R(Y), `&rfr;`))*R(Y)^2)/(R(Y)*(-R(Y)+2*m)), 0 = (-4*(diff(Tau(Y), varphi))*(-(1/2)*R(Y)+m)^2*(diff(Tau(Y), `&tfr;`))+(diff(R(Y), varphi))*(diff(R(Y), `&tfr;`))*R(Y)^2)/(R(Y)*(-R(Y)+2*m)), 0 = (-4*(diff(Tau(Y), varphi))*(-(1/2)*R(Y)+m)^2*(diff(Tau(Y), vartheta))+(diff(R(Y), varphi))*(diff(R(Y), vartheta))*R(Y)^2)/(R(Y)*(-R(Y)+2*m)), 0 = (-4*(diff(Tau(Y), vartheta))*(-(1/2)*R(Y)+m)^2*(diff(Tau(Y), `&rfr;`))+(diff(R(Y), vartheta))*(diff(R(Y), `&rfr;`))*R(Y)^2)/(R(Y)*(-R(Y)+2*m)), 0 = (-4*(diff(Tau(Y), vartheta))*(-(1/2)*R(Y)+m)^2*(diff(Tau(Y), `&tfr;`))+(diff(R(Y), vartheta))*(diff(R(Y), `&tfr;`))*R(Y)^2)/(R(Y)*(-R(Y)+2*m)), (-2*`&rfr;`+1/`&mfr;`^2)^2/(2*`&rfr;`+1/`&mfr;`^2)^2 = (-4*(-(1/2)*R(Y)+m)^2*(diff(Tau(Y), `&tfr;`))^2+(diff(R(Y), `&tfr;`))^2*R(Y)^2)/(R(Y)*(-R(Y)+2*m)), -(1/16)*(2*`&rfr;`+1/`&mfr;`^2)^4/`&rfr;`^4 = (-4*(-(1/2)*R(Y)+m)^2*(diff(Tau(Y), `&rfr;`))^2+(diff(R(Y), `&rfr;`))^2*R(Y)^2)/(R(Y)*(-R(Y)+2*m)), -(1/16)*(2*`&rfr;`+1/`&mfr;`^2)^4/`&rfr;`^2 = (diff(Tau(Y), vartheta))^2*(R(Y)-2*m)/R(Y)-(diff(R(Y), vartheta))^2*R(Y)/(R(Y)-2*m)-R(Y)^2, -(1/16)*(2*`&rfr;`+1/`&mfr;`^2)^4*sin(vartheta)^2/`&rfr;`^2 = (-4*(-(1/2)*R(Y)+m)^2*(diff(Tau(Y), varphi))^2+2*((1/2)*(diff(R(Y), varphi))^2+(cos(vartheta)-1)*R(Y)*(cos(vartheta)+1)*(-(1/2)*R(Y)+m))*R(Y)^2)/(R(Y)*(-R(Y)+2*m))}, [R, mt])

`casesplit/ans`([R(Y) = (1/4)*(2*`&rfr;`+m)^2/`&rfr;`, `&mfr;`^2 = 1/m, diff(Tau(Y), `&tfr;`) = -1, diff(Tau(Y), `&rfr;`) = 0, diff(Tau(Y), vartheta) = 0, diff(Tau(Y), varphi) = 0], [`&mfr;` <> 0]), `casesplit/ans`([R(Y) = (1/4)*(2*`&rfr;`+m)^2/`&rfr;`, `&mfr;`^2 = 1/m, diff(Tau(Y), `&tfr;`) = 1, diff(Tau(Y), `&rfr;`) = 0, diff(Tau(Y), vartheta) = 0, diff(Tau(Y), varphi) = 0], [`&mfr;` <> 0]), `casesplit/ans`([R(Y) = -(1/4)*(m-2*`&rfr;`)^2/`&rfr;`, `&mfr;`^2 = -1/m, diff(Tau(Y), `&tfr;`) = -1, diff(Tau(Y), `&rfr;`) = 0, diff(Tau(Y), vartheta) = 0, diff(Tau(Y), varphi) = 0], [`&mfr;` <> 0]), `casesplit/ans`([R(Y) = -(1/4)*(m-2*`&rfr;`)^2/`&rfr;`, `&mfr;`^2 = -1/m, diff(Tau(Y), `&tfr;`) = 1, diff(Tau(Y), `&rfr;`) = 0, diff(Tau(Y), vartheta) = 0, diff(Tau(Y), varphi) = 0], [`&mfr;` <> 0])

(24)

Consider for instance the first one

sol[1]

`casesplit/ans`([R(Y) = (1/4)*(2*`&rfr;`+m)^2/`&rfr;`, `&mfr;`^2 = 1/m, diff(Tau(Y), `&tfr;`) = -1, diff(Tau(Y), `&rfr;`) = 0, diff(Tau(Y), vartheta) = 0, diff(Tau(Y), varphi) = 0], [`&mfr;` <> 0])

(25)

Compute the actual solution behind this case :

pdsolve(`casesplit/ans`([R(Y) = (1/4)*(2*`&rfr;`+m)^2/`&rfr;`, `&mfr;`^2 = 1/m, diff(Tau(Y), `&tfr;`) = -1, diff(Tau(Y), `&rfr;`) = 0, diff(Tau(Y), vartheta) = 0, diff(Tau(Y), varphi) = 0], [`&mfr;` <> 0]), {R, Tau, mt})

{`&mfr;` = -1/m^(1/2), R(Y) = (1/4)*(2*`&rfr;`+m)^2/`&rfr;`, Tau(Y) = -`&tfr;`+_C1}, {`&mfr;` = 1/m^(1/2), R(Y) = (1/4)*(2*`&rfr;`+m)^2/`&rfr;`, Tau(Y) = -`&tfr;`+_C1}

(26)

The fact that the time t appears defined in terms of the transformed time Tau(Y) = -`&tfr;`+_C1 involving an arbitrary constant is expected: the time does not enter the metric, it only enters through derivatives of Tau(Y) entering the Jacobian of the transformation used to change variables in tensorial expressions (the metric) in (22).

 

Summary: the approach shown above, based on formulating the problem for the transformation functions of the equivalence and solving for them the differential equations using the commands in PDEtools, after restricting the generality of the transformation functions by looking at the form of the Weyl scalars, works well for other cases too, specially now that, in Maple 2016, the Weyl scalars can be expressed also in canonical form in one go (see previous Mapleprimes post on "Tetrads and Weyl scalars in canonical form").  Also important: in Maple 2016 it is present the functionality necessary to implement the approach of section 9.2 of the Exact solutions book as well.