Chapter 8: Infinite Sequences and Series
Section 8.5: Taylor Series
Example 8.5.2
Show that R^n+1x for fx=ex goes to zero as n→∞, establishing that f has a Maclaurin series.
Find the terms of that series.
Solution
Mathematical Solution
The Taylor-series remainder for fx=ex is
R^n+1x=exn+1!xn+1
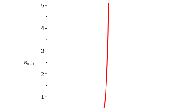
For each fixed x, R^n+1x→0, as suggested by Figure 8.5.2(a) where n is controlled by the slider.
As n→∞, R^n+1x→0 but the limit is not uniform in x. As n increases, the interval on which the remainder gets close to zero increases to the right.
n= =
Figure 8.5.2(a) Slider-controlled graph of R^n+1
In the limit as n→∞, the interval on which the remainder approaches zero becomes the whole real line.
The Maclaurin series is fx=ex=∑n=0∞xnn! because fnx=ex and fn0=1 for n=0,1,….
Maple Solution
The expression for R^n+1
Write R=… Context Panel: Assign Name
R=ⅇx xn+1n+1!→assign
Show that R^n+1→0 as n→∞
Calculus palette: Limit template Context Panel: Evaluate and Display Inline
limn→∞R = 0
Obtain the Maclaurin series
Write the exponential function, being sure to use a Maple template or palette for "e".
Context Panel: Series≻Formal Power Series Complete the dialog as per Figure 8.5.2(b).
Figure 8.5.2(b) Formal Power Series dialogc
ⅇx→formal series∑n=0∞xnn!
Obtain the Maclaurin series from first principles
Write fx=…(Use the correct "e"!) Context Panel: Assign Function
fx=ⅇx→assign as functionf
Expression palette: Summation template
Context Panel: 2-D Math≻Convert To≻Inert Form
Context Panel: Evaluate and Display Inline
∑n=0∞fn0n!xn = ∑n=0∞xnn!
Note: The symbol for the nth-derivative can be typed, or it can be obtained as the template fnx in the Calculus palette.
<< Previous Example Section 8.5 Next Example >>
© Maplesoft, a division of Waterloo Maple Inc., 2025. All rights reserved. This product is protected by copyright and distributed under licenses restricting its use, copying, distribution, and decompilation.
For more information on Maplesoft products and services, visit www.maplesoft.com
Download Help Document